Номер по Госреестру СИ: 75662-19
75662-19 Система измерительная установки 35-11/600 ООО "ЛУКОЙЛ-Пермнефтеоргсинтез"
(Нет данных)
Назначение средства измерений:
Система измерительная установки 35-11/600 ООО «ЛУКОЙЛ-Пермнефтеоргсинтез» (далее - ИС) предназначена для измерений параметров технологического процесса (давления, перепада давления, температуры, объемного и массового расходов, уровня, концентрации, нижнего концентрационного предела распространения пламени (далее - НКПР)).
Программное обеспечение
Программное обеспечение (далее - ПО) ИС обеспечивает реализацию функций ИС.
Защита ПО ИС от непреднамеренных и преднамеренных изменений и обеспечение его соответствия утвержденному типу осуществляется путем идентификации, защиты от несанкционированного доступа.
Идентификационные данные ПО ИС приведены в таблице 2.
Таблица 2 - Идентификационные данные ПО ИС
|
Идентификационные данные (признаки) |
Значение |
|
Идентификационное наименование ПО |
ExperionPKS |
|
Номер версии (идентификационный номер) ПО |
не ниже 400.2 |
|
Цифровой идентификатор ПО |
- |
ПО ИС защищено от несанкционированного доступа, изменения алгоритмов и установленных параметров путем введения логина и пароля, ведения доступного только для чтения журнала событий.
Уровень защиты ПО ИС «средний» в соответствии с Р 50.2.077-2014.
Знак утверждения типа
Знак утверждения типа наносится на титульный лист паспорта типографским способом.
Сведения о методиках измерений
Сведения о методиках (методах) измерений
приведены в эксплуатационном документе.
Нормативные и технические документы
Нормативные документы, устанавливающие требования к системе измерительной установки 35-11/600 ООО «ЛУКОЙЛ-Пермнефтеоргсинтез»
ГОСТ Р 8.596-2002 ГСИ. Метрологическое обеспечение измерительных систем. Основные положения
Поверка
Поверкаосуществляется по документу МП 0612/1-311229-2018 «Государственная система обеспечения единства измерений. Система измерительная установки 35-11/600 ООО «ЛУКОЙЛ-Пермнефтеоргсинтез». Методика поверки», утвержденному ООО Центр Метрологии «СТП» 6 декабря 2018 г.
Основные средства поверки:
-
- средства поверки в соответствии с документами на поверку средств измерений, входящих в состав ИС;
-
- калибратор многофункциональный MCx-R модификации MC5-R-IS (регистрационный номер 22237-08).
Допускается применение аналогичных средств поверки, обеспечивающих определение метрологических характеристик поверяемых СИ с требуемой точностью.
Знак поверки наносится на свидетельство о поверке ИС.
Изготовитель
Общество с ограниченной ответственностью «ЛУКОЙЛ-Пермнефтеоргсинтез» (ООО «ЛУКОЙЛ-Пермнефтеоргсинтез»)
ИНН 5905099475
Адрес: 614055, г. Пермь, ул. Промышленная, 84
Телефон: (342) 2202467, факс: (342) 2202288
Web-сайт: http://pnos.lukoil.ru/ru
E-mail: lukpnos@pnos.lukoil.com
Испытательный центр
Общество с ограниченной ответственностью Центр Метрологии «СТП»Адрес: 420107, Республика Татарстан, г. Казань, ул. Петербургская, д. 50, корп. 5, офис 7
Телефон: (843) 214-20-98, факс: (843) 227-40-10
Web-сайт: http://www.ooostp.ru
Принцип действия ИС основан на непрерывном измерении, преобразовании и обработке при помощи системы измерительно-управляющей ExperionPKS (регистрационный номер в Федеральном информационном фонде (далее - регистрационный номер) 17339-12) (далее -ExperionPKS) (комплексный компонент ИС) входных сигналов, поступающих по
измерительным каналам (далее - ИК) от первичных и промежуточных измерительных преобразователей (далее - ИП).
ИС осуществляет измерение параметров технологического процесса следующим образом:
-
- первичные ИП преобразуют текущие значения параметров технологического процесса в аналоговые унифицированные электрические сигналы силы постоянного тока от 4 до 20 мА, сигналы термопреобразователей сопротивления и термопар;
-
- аналоговые унифицированные электрические сигналы силы постоянного тока от 4 до 20 мА от первичных ИП поступают на входы преобразователей измерительных серий MTL4500, MTL4600, MTL5500 модели MTL4544 (регистрационный номер 39587-14) (далее -MTL4544) и далее на входы модулей аналогового ввода серии Chassis I/O Modules - Series C моделей CC-PAIH01 ExperionPKS (далее - PAIH01) (часть сигналов поступает на модули ввода аналоговых сигналов без барьеров искрозащиты);
-
- сигналы термопреобразователей сопротивления и термопар поступают на входы преобразователей измерительных серий MTL4500, MTL4600, MTL5500 модели MTL4576-RTD и MTL4576-THC (регистрационный номер 39587-14) (далее - MTL4576-RTD и MTL4576-THC соответственно), и далее на входы модулей аналогового ввода серии Chassis I/O Modules -Series C моделей CC-PAIX01 ExperionPKS (далее - PAIX01); часть сигналов напрямую поступает на входы устройств ввода/вывода измерительных дистанционных I.S.1, IS pac моделей 9480 и 9481 (регистрационный номер 22560-04) (далее - 9480 и 9481 соответственно).
Цифровые коды, преобразованные посредством модулей ввода аналоговых сигналов в значения физических параметров технологического процесса, отображаются на мнемосхемах мониторов операторских станций управления в виде числовых значений, гистограмм, трендов, текстов, рисунков и цветовой окраски элементов мнемосхем, а также интегрируется в базу данных ИС.
ИС включает в себя также резервные ИК.
Состав средств измерений, применяемых в качестве первичных ИП ИК, указан в таблице 1.
Таблица 1 - Средства измерений, применяемые в качестве первичных ИП ИК
|
Наименование ИК |
Наименование первичного ИП ИК |
Регистрационный номер |
|
1 |
2 |
3 |
|
ИК давления |
Преобразователь давления измерительный 3051 исполнения 3051TG (далее - 3051TG) |
14061-04 |
|
Преобразователь давления измерительный 3051 исполнения 3051TG (далее - ПД 3051TG) |
14061-10 | |
|
Датчик давления Метран-75 модели 75G (далее - Метран-75G) |
48186-11 | |
|
Преобразователь давления измерительный EJX модели EJX 530A (далее - EJX 530A) |
28456-09 | |
|
Преобразователь давления измерительный EJA модели EJA 530A (далее - EJA 530A) |
14495-00 | |
|
Преобразователь давления измерительный EJA модели EJA 530A (далее - ПД EJA 530A) |
14495-09 | |
|
Преобразователь (датчик) давления измерительный EJ* модели EJX 530A (далее - ПДИ EJX 530A) |
59868-15 | |
|
ИК перепада давления |
Датчик давления 1151 модели 1151DP (далее -1151DP) |
13849-94 |
|
Преобразователь давления измерительный EJA модели EJA 110A (далее - EJA 110A) |
14495-00 | |
|
Преобразователь давления измерительный EJA модели EJA 110A (далее - ПД EJA 110A) |
14495-09 | |
|
Преобразователь давления измерительный 3051 исполнения 3051CD (далее - 3051 CD) |
14061-99 | |
|
Преобразователь давления измерительный 3051 исполнения 3051CD (далее - ПД 3051CD) |
14061-04 | |
|
Преобразователь давления измерительный 3051 исполнения 3051CD (далее - ПДИ 3051CD) |
14061-10 | |
|
ИК температуры |
Преобразователь температуры Метран-280 модели Метран-286 (далее - Метран-286) |
23410-13 |
|
Термопреобразователь сопротивления с пленочным чувствительным элементом ТСП Метран-200 (далее - Метран-246) |
26224-12 | |
|
Преобразователь измерительный Rosemount 644 (далее - 644) |
56381-14 | |
|
Термопреобразователь сопротивления ТСП 9201 (далее - ТСП 9201) |
13587-01 | |
|
Термопреобразователь сопротивления ТСП исполнения ТСП 9204 (далее - ТСП 9204) |
50071-12 | |
|
Термопреобразователь сопротивления ТСП исполнения ТСП 1107 (далее - ТСП 1107) |
50071-12 | |
|
Т ермопреобразователь сопротивления ТСП-0193 (далее - ТСП-0193) |
56560-14 | |
|
Термометр сопротивления ТСП-0193 (далее - 0193) |
40163-08 |
|
1 |
2 |
3 |
|
ИК температуры |
Преобразователь термоэлектрический модели ТХА 9312 (далее - ТХА 9312) |
14590-95 |
|
Преобразователь термоэлектрический ТХА модели ТХА 9312 (далее - ТП 9312) |
46538-11 | |
|
Преобразователь термоэлектрический ТХАв (далее - ТХАв 2088) |
61363-15 | |
|
Преобразователь термоэлектрический кабельный ТХА-К (далее - ТХА-К 204) |
23411-12 | |
|
Термопреобразователь сопротивления из платины и меди ТС и их чувствительные элементы ЧЭ (далее - ТС-1088) |
58808-14 | |
|
Термометр сопротивления из платины и меди ТС модификации ТС-1088 (далее - 1088) |
18131-09 | |
|
Термопреобразователь сопротивления ТС-Б модификации ТС-Б-У (далее - ТС-Б-У) |
61801-15 | |
|
Преобразователь термоэлектрический типа ТХА модели ТХА-0192 (далее - ТХА-0192) |
50428-12 | |
|
Преобразователь термоэлектрический типа ТХА модели ТХА-0193 (далее - ТХА-0193) |
50428-12 | |
|
Преобразователь термоэлектрический модели ТХК 9312 (далее - ТХК 9312) |
14590-95 | |
|
Преобразователь термоэлектрический типа ТХА исполнения ТХА-1193 (далее - ТХА-1193) |
50428-12 | |
|
Датчик температуры серии ТР (далее - ТР) |
46867-13 | |
|
Преобразователь измерительный ПИ Т (далее - ПИ Т) |
47756-11 | |
|
Термопреобразователь с унифицированным выходным сигналом УТП модели УТП 106 (далее - УТП 106) |
47757-11 | |
|
Т ермопреобразователь сопротивления ТСП-1088 (далее - ТСП-1088) |
12395-90 | |
|
ИК объемного расхода |
Расходомер-счетчик вихревой 8800 исполнения 8800DF (далее - 8800DF) |
14663-06 |
|
Расходомер-счетчик вихревой 8800 исполнения 8800DF (далее - СРВ 8800DF) |
14663-12 | |
|
Расходомер-счетчик вихревой 8800 исполнения 8800DR (далее - 8800DR) |
14663-06 | |
|
Счетчик-расходомер электромагнитный ADMAG модификации AXF (далее - ADMAG) |
17669-09 | |
|
Расходомер-счетчик ультразвуковой Prosonic Flow исполнения 93P (далее - Prosonic Flow) |
29674-08 | |
|
ИК массового расхода |
Счетчик-расходомер массовый Micro Motion модификации F с преобразователем серии 1700 (далее - Micro Motion) |
45115-10 |
|
8800DR |
14663-06 | |
|
8800DF |
14663-06 | |
|
ИК уровня |
Преобразователь уровня измерительный буйковый 244LD (далее - 244LD) |
48164-11 |
|
ИК уровня |
Уровнемер микроимпульсный Levelflex FMP5* исполнения FMP 54 (далее - FMP 54) |
47249-11 |
|
1 |
2 |
3 |
|
Преобразователь уровня измерительный буйковый взрывозащищенный Сапфир-22ДУ-Вн (далее - Сапфир) |
10994-98 | |
|
Преобразователь уровня измерительный буйковый взрывозащищенный Сапфир-22ДУ-Вн (далее - Сапфир-22ДУ) |
10994-87 | |
|
ИК концентрации |
Газоанализатор THERMOX серии WDG-HPII (далее - THERMOX) |
38307-08 |
|
Г азоанализатор ДИСК-ТК (далее - ДИСК) |
20849-01 | |
|
Г азоанализатор ДИСК-ТК (далее - ДИСК-ТК) |
20849-11 | |
|
ИК НКПР |
Датчик горючих газов Drager модели PEX 3000 (далее - Drager) |
57257-14 |
ИС выполняет следующие функции:
- автоматизированное измерение, регистрация, обработка, контроль , хранение и индикация параметров технологического процесса;
- предупредительная и аварийная сигнализация при выходе параметров технологического процесса за установленные границы и при обнаружении неисправности в работе оборудования;
- управление технологическим процессом в реальном масштабе времени;
- противоаварийная защита оборудования установки;
- отображение технологической и системной информации на операторской станции управления;
- накопление, регистрация и хранение поступающей информации;
- самодиагностика;
- автоматическое составление отчетов и рабочих (режимных) листов;
- защита системной информации от несанкционированного доступа к программным средствам и изменения установленных параметров.
Пломбирование ИС не предусмотрено.
Основные технические характеристики ИС представлены в таблице 3.
Таблица 3 - Основные технические характеристики ИС
|
Наименование характеристики |
Значение |
|
Количество ИК, не более |
542 |
|
Параметры электрического питания:
|
3 8 0+77 ; 220+22 50±1 |
|
Потребляемая мощность, кВ • А, не более |
2,5 |
|
Условия эксплуатации: а) температура окружающей среды, °С:
б) относительная влажность, %:
в) атмосферное давление, кПа |
от +15 до +25 от -40 до +50 от 20 до 80, без конденсации влаги не более 95, без конденсации влаги от 84,0 до 106,7 кПа |
|
Примечание - ИП, эксплуатация которых в указанных диапазонах температуры окружающей среды и относительной влажности не допускается, эксплуатируются при температуре окружающей среды и относительной влажности, указанных в технической документации на данные ИП. | |
Метрологические характеристики вторичной части ИК ИС приведены в таблице 4.
Таблица 4 - Метрологические характеристики вторичной части ИК ИС
|
Тип барьера искрозащиты |
Тип модуля ввода/вывода |
Пределы допускаемой основной погрешности |
|
MTL4544 |
PAIH01 |
g: ±0,17 % |
|
- |
g: ±0,075 % | |
|
Для каналов, воспринимающих сигналы | ||
|
термопреобразователей сопротивления с НСХ Pt 100: | ||
|
MTL4576- |
D ±( 0,08 ) 0,016 ) 0,075 ( )°С. — 1 т} -г-» (tmax tmin) + i a (tmax tmin) + i пп (tmax tmin) 1’ ’ I Rmax - Rmin 16 100 0 | |
|
RTD |
Для каналов, воспринимающих сигналы | |
|
термопреобразователей сопротивления с НСХ 100 П: | ||
|
PAIX01 |
D=—[ 0,08 • (t t.)+0,016 • (t t.)+0,075 • (t t.) + 5-10-5 • R2 + 0,03-R, з’°С. 1к» - 16 100 ч°м ') | |
|
Для каналов, воспринимающих сигналы термопар: | ||
|
MTL4576- |
. (0,05 0,016 x , 0,075 3 °Сили D = —1 • t + • (t t . ) +1 + ’ • (t t . ) ’ С или 1 100 изм 16 x max min/ 100 '' max min/ 1 | |
|
ТНС |
0,015 0,016 ( ) , 0,075 ( )°c D = —1 TT tt tизм + i r (tmax tmin) + 1 + <лл (tmax tmln) I’ ’ I Umax - Umin 16 100 ) | |
|
в зависимости от того, что больше | ||
|
- |
9480 |
D=—fо.075^ - J°С 1 100 max min/ 1 |
|
- |
9481 |
D = —f 0,07‘(t t.) + 0,5’ °С 1 100 ' max min/ ’ ) |
Примечания
-
1 НСХ - номинальная статическая характеристика.
-
2 Приняты следующие обозначения:
g - приведенная к диапазону измерений погрешность, %; А - абсолютная погрешность, в единицах измеряемой величины;
Rmax - значение сопротивления термопреобразователей сопротивления, верхнему пределу измерений температуры ИК, Ом;
Rmin - значение сопротивления термопреобразователей сопротивления,
нижнему пределу измерений температуры ИК, Ом;
RU3m - значение сопротивления термопреобразователей сопротивления,
измеренному значению температуры ИК, Ом;
tmax - верхний предел диапазона измерений температуры ИК, °С; tmin - нижний предел диапазона измерений температуры ИК, °С; tK3M - измеренное ИК значение температуры, °С;
Umax - значение термоэлектродвижущей силы термопары, соответствующее измерений температуры ИК, мВ;
Umin - значение термоэлектродвижущей силы термопары, соответствующее измерений температуры ИК, мВ.
соответствующее
соответствующее соответствующее верхнему пределу нижнему пределу
Метрологические характеристики ИК ИС приведены в таблице 5.
Таблица 5 - Метрологические характеристики ИК ИС
|
Метрологические характеристики ИК |
Метрологические характеристики измерительных компонентов ИК | ||||||
|
Первичный ИП |
Вторичная часть ИК | ||||||
|
Наименование ИК |
Диапазоны измерений |
Пределы допускаемой основной погрешности |
Тип (выходной сигнал) |
Пределы допускаемой основной погрешности |
Тип барьера искро-защиты |
Типа модуля ввода/вывода |
Пределы допускаемой основной погрешности |
|
1 |
2 |
3 |
4 |
5 |
6 |
7 |
8 |
|
ИК давления |
от 0 до 0,4 МПа; от 0 до 0,59 МПа; от 0 до 0,6 МПа; от 0 до 2,5 МПа; от 0 до 3,44 МПа; от 0 до 5,89 МП1а); от 0 до 206 кПа1); от 0 до 1034 кПа1); от 0 до 5515 кПа1); от 0 до 27579 кПаХ) |
g: ±0,20 при соотношении ДИтах/ДИ менее чем 5:1; g: ±0,21 % при соотношении ДИтах/ДИ более чем 10:1 |
3051TG |
g: ±0,04 % при соотношении ДИтах/ДИ менее чем 5:1; g: ±0,065 % при соотношении ДИтах/ДИ более чем 10:1 |
MTL4544 |
PAIH01 |
g: ±0,17 % |
|
от 0 до 0,4 МПа; от 0 до 0,6 МПа; от 0 до 1,6 МПа; от 0 до 2,5 МПа; от 0 до 3,44 МПа; от 0 до 3,93 кПа; от 0 до 5,89 МПа; от 0 до 6,18 кПа; от 0 до 9,81 МП1а) ; от 0 до 206 кПа1); от 0 до 1034 кПа1); от 0 до 5515 кПа1); от 0 до 27579 кПаХ) |
g: ±0,20 % при соотношении ДИтах/ДИ<5; g: ±0,21 % при соотношении ДИтах/ДИ<10 |
ПД 3051TG (от 4 до 20 мА) |
g: ±0,04 % при соотношении ДИтах/ДИ<5; g: ±0,065 % при соотношении ДИтах/ДИ<10 |
MTL4544 |
PAIH01 |
g: ±0,17 % | |
|
1 |
2 |
3 |
4 |
5 |
6 |
7 |
8 |
|
ИК давления |
от 0 до 100 кПа; от 0 до 1 МПа1) |
g: ±0,59 % |
Метран-75G (от 4 до 20 мА) |
g: ±0,5 % |
MTL4544 |
PAIH01 |
g: ±0,17 % |
|
от 0 до 0,59 МПа; от 0 до 1 МПа; от 0 до 1,57 МПа; от 0 до 2 МПа; от -0,1 до 2 МПа1:) |
g: от ±0,22 до ±0,69 % |
EJX 530A (от 4 до 20 мА) |
g: от ±0,10 до ±0,6 % |
MTL4544 |
PAIH01 |
g: ±0,17 % | |
|
от 0 до 0,10 МПа; от 0 до 0,20 МПа; от 0 до 1,57 МПа; от 0 до 3,44 МПа; от 0 до 3,93 МПа; от 0 до 5,89 МП1)а; от 0 до 2 МПа1); от 0 до 10 МПа1) |
g: от ±0,29 до ±0,69 % |
EJA 530A (от 4 до 20 мА) |
g: от ±0,20 до ±0,60 % |
MTL4544 |
PAIH01 |
g: ±0,17 % | |
|
от 0 до 0,3 МПа; от 0 до 0,59 МПа; от 0 до 0,99 МПа; от 0 до 1,57 МПа; от 0 до 2,46 МПа; от 0 до 3,44 МПа; от 0 до 200 кПа1); от 0 до 2 МПа1); от 0 до 10 МПа1); от 0 до 50 МПа1) |
g: от ±0,29 до ±0,69 % |
ПД EJA 530A (от 4 до 20 мА) |
g: от ±0,20 до ±0,60 % |
MTL4544 |
PAIH01 |
g: ±0,17 % | |
|
от 0 до 3,44 МПа; от 0 до 5,89 МП1а); от 0 до 10 МПа1) |
g: от ±0,29 до ±0,69 % |
ПДИ EJA 530A (от 4 до 20 мА) |
g: от ±0,20 до ±0,60 % |
MTL4544 |
PAIH01 |
g: ±0,17 % |
|
1 |
2 |
3 |
4 |
5 |
6 |
7 |
8 |
|
ИК перепада давления |
от 0 до 24,52 кПа; от -37,305 д1о) 37,305 кПа1 |
g: ±0,29 % |
1151DP (от 4 до 20 мА) |
g: ±0,20 % |
MTL4544 |
PAIH01 |
д: ±0,17 % |
|
от 0 до 13 кПа; от 0 до 24,52 кПа; от 0 до 61,79 кПа;1) от -100 до 100 кПа1 |
g: от ±0,21 до ±0,69 % |
EJA 110A (от 4 до 20 мА) |
g: от ±0,075 до ±0,60 % |
MTL4544 |
PAIH01 |
g: ±0,17 % | |
|
от 0 до 4 кПа; от 0 до 20,38 кПа; от 0 до 24,52 кПа; от 0 до 34 кПа; от 0 до 39,23 кП1а); от -10 до 10 кПа1); от -100 до 100 кПа1 |
g: от ±0,21 до ±0,69 % |
EJA ПД 110A (от 4 до 20 мА) |
g: от ±0,075 до ±0,60 % |
MTL4544 |
PAIH01 |
g: ±0,17 % | |
|
от 0 до 39,23 кПа1); от -62 до 62 кПа1) |
g: ±0,21 при соотношении ДИтах/ДИ менее чем 10:1; g: ±0,25 % при соотношении ДИтах/ДИ более чем 10:1 |
3051CD (от 4 до 20 мА) |
g: ±0,075 % при соотношении ДИтах/ДИ менее чем 10:1; g: ±0,15 % при соотношении ДИтах/ДИ более чем 10:1 |
MTL4544 |
PAIH01 |
g: ±0,17 % |
|
1 |
2 |
3 |
4 |
5 |
6 |
7 |
8 |
|
ИК перепада давления |
от 0 до3,73 кПа; от 0 до 4,12 кПа; от 0 до 6,42 кПа; от 0 до 9,81 кПа; от 0 до 14,71 кПа; от 0 до 25 кПа; от 0 до 60 кПа; от 0 до 24,52 кПа; от 0 до 39,23 кПа; от 0 до 46,88 кПа; от 0 до 99,06 кПа; от -0,747 д1)о 0,747 кПа1); от -6,22 до 6,22 кПа1); 1) от -62 до 62 кПа1); от -248 до 248 кПаХ) |
g: ±0,20 при соотношении ДИтах/ДИ менее чем 5:1; g: ±0,21 % при соотношении ДИтах/ДИ более чем 10:1 |
ПДИ 3051CD (от 4 до 20 мА) |
g: ±0,04 % при соотношении ДИтах/ДИ менее чем 5:1; g: ±0,065 % при соотношении ДИтах/ДИ более чем 10:1 |
MTL4544 |
PAIH01 |
g: ±0,17 % |
|
от -1,21 до 3,17 кПа от -6,22 до 6,22 кПа1); |
g: ±0,20 при соотношении ДИтах/ДИ менее чем 5:1; g: ±0,21 % при соотношении ДИтах/ДИ более чем 10:1 |
ПД 3051CD (от 4 до 20 мА) |
g: ±0,04 % при соотношении ДИтах/ДИ менее чем 5:1; g: ±0,065 % при соотношении ДИтах/ДИ более чем 10:1 |
MTL4544 |
PAIH01 |
g: ±0,17 % |
|
1 |
2 |
3 |
4 |
5 |
6 |
7 |
8 | |
|
ИК температуры |
от 0 до +100 °С |
Д: ±0,52 °С |
Метран-286 (Pt 100); 644 (от 4 до 20 мА) |
g (Метран-286): ±0,15 % или Д: ±0,4 °С (берут большее значение); Д (644): ±0,15 °С; g (644): ±0,03 %3) |
MTL4544 |
PAIH01 |
g: ±0,17 % | |
|
от -50 до +500 °Сп |
см. примечание 7 | |||||||
|
от -50 до +100 °С |
Д: ±0,95 °С |
Метран-246 (Pt 100); 644 (от 4 до 20 мА) |
Д (Метран-246): ±(0,3+0,005-|t|), °С; Д (644): ±0,15 °С; g (644): ±0,03 %3) |
MTL4544 |
PAIH01 |
g: ±0,17 % | ||
|
от -50 до +1201) °С |
см. примечание 7 | |||||||
|
от 0 до +100 °С |
Д |
±0,89 °С |
ТСП 9201 (НСХ 100 П) |
Д: ±(0,3+0,005-|t|), °С |
- |
9480 |
Д: ±0,08 °С | |
|
от 0 до +150 °С |
Д |
±1,17 °С |
Д: ±0,12 °С | |||||
|
от 0 до +200 °С |
Д |
±1,44 °С |
Д: ±0,15 °С | |||||
|
от 0 до +250 °С |
Д |
±1,72 °С |
Д: ±0,19 °С | |||||
|
от 0 до +300 °С |
Д |
±2,00 °С |
Д: ±0,23 °С | |||||
|
от 0 до +400 °С |
Д |
±2,56 °С |
Д: ±0,30 °С | |||||
|
от -50 до +500 °С |
Д |
±3,12 °С |
Д: ±0,42 °С | |||||
|
от 0 до +600 °С |
Д |
±3,67 °С |
Д: ±0,45 °С | |||||
|
от -200 до +6001) °С |
см. примечание 7 |
см. таблицу 4 | ||||||
|
от -20 до +100 °С |
Д |
±2,95 °С |
ТСП 9201 (НСХ 100 П) |
Д: ±(0,3+0,005-|t|), °С |
MTL4576 -RTD |
PAIX01 |
Д: ±2,56 °С | |
|
от 0 до +100 °С |
Д |
±2,91 °С |
Д: ±2,53 °С | |||||
|
от 0 до +150 °С |
Д |
±3,99 °С |
Д: ±3,47 °С | |||||
|
от 0 до +200 °С |
Д |
±5,09 °С |
Д: ±4,44 °С | |||||
|
от 0 до +250 °С |
Д |
±6,21 °С |
Д: ±5,43°С | |||||
|
от 0 до +300 °С |
Д |
±7,36 °С |
Д: ±6,44°С | |||||
|
от -50 до +500 °С |
Д: ±12,20 °С |
Д: ±10,73 °С | ||||||
|
от -200 до +6001) °С |
см. примечание 7 |
см. таблицу 4 | ||||||
|
от -20 до +100 °С |
Д: ±1,00 °С |
ТСП 9204 (НСХ Pt 100) |
Д: ±(0,3+0,005-|t|), °С |
MTL4576 -RTD |
PAIX01 |
Д: ±0,42 °С | ||
|
от -60 до +2001) °С |
см. примечание 7 |
см. таблицу 4 | ||||||
|
1 |
2 |
3 |
4 |
5 |
6 |
7 |
8 |
|
ИК температуры |
от 0 до +100 °С |
Д: ±0,89 °С |
ТСП 9204 (НСХ Pt 100) |
Д: ±(0,3+0,005-|t|), °С |
- |
9480 |
Д: ±0,08 °С |
|
от -60 до +2001 °С |
см. примечание 7 |
см. таблицу 4 | |||||
|
от -200 до +200 °С |
Д: ±1,47 °С |
ТСП 1107 (НСХ Pt 100) |
Д: ±(0,3+0,005-|t|), °С |
- |
9480 |
Д: ±0,30 °С | |
|
от -200 до +6001} °С |
см. примечание 7 |
см. таблицу 4 | |||||
|
от 0 до +100 °С |
Д: ±0,98 °С |
ТСП-0193 (НСХ Pt 100) |
Д: ±(0,3+0,005-|t|), °С |
MTL4576 -RTD |
PAIX01 |
Д: ±0,39 °С | |
|
от -20 до +100 °С |
Д: ±1,00 °С |
Д: ±0,42 °С | |||||
|
от -196 до +6601) °С |
см. примечание 7 |
см. таблицу 4 | |||||
|
от 0 до +100 °С |
Д: ±0,89 °С |
ТСП-0193 (НСХ Pt 100) |
Д: ±(0,3+0,005-|t|), °С |
- |
9480 |
Д: ±0,08 °С | |
|
от -196 до +6601) °С |
см. примечание 7 |
см. таблицу 4 | |||||
|
от 0 до +150 °С |
Д: ±1,17 °С |
0193 (НСХ 100 П) |
Д: ±(0,3+0,005-|t|), °С |
- |
9480 |
Д: ±0,12 °С | |
|
от -196 до +6601) °С |
см. примечание 7 |
см. таблицу 4 | |||||
|
от 0 до +100 °С |
Д: ±2,83 °С |
ТХА 9312 (НСХ К) |
Д: ±2,5 °С в диапазоне измерений от -40 до +333 °С включ., Д: ±(0,00754) °С в диапазоне измерений св. +333 до +900 °С |
- |
9481 |
Д: ±0,57 °С | |
|
от 0 до +150 °С |
Д: ±2,83°С |
Д: ±0,61 °С | |||||
|
от 0 до +400 °С |
Д: ±3,41 °С |
Д: ±0,78 °С | |||||
|
от 0 до +600 °С |
Д: ±5,06 °С |
Д: ±0,92 °С | |||||
|
от 0 до +900 °С |
Д: ±7,53 °С |
Д: ±1,13 °С | |||||
|
от -40 до +9001) °С |
см. примечание 7 |
см. таблицу 4 | |||||
|
от 0 до +600 °С |
Д: ±3,03 °С |
ТП 9312 (НСХ К) |
Д: ±1,5 °С в диапазоне измерений от -40 до +333 °С включ., Д: ±(0,004-t) °С в диапазоне измерений св. +333 до +900 °С |
MTL4576 -THC |
PAIX01 |
Д: ±1,35 °С | |
|
от -40 до +9001) °С |
см. примечание 7 |
см. таблицу 4 |
|
1 |
2 |
3 |
4 |
5 |
6 |
7 |
8 |
|
ИК температуры |
от 0 до +100 °С |
Л: ±1,77 °С |
ТП 9312 (НСХ К) |
Л: ±1,5 °С в диапазоне измерений от -40 до +333 °С включ., Л: ±(0,004-t) °С в диапазоне измерений св. +333 до +900 °С |
- |
9481 |
Л: ±0,57 °С |
|
от 0 до +600 °С |
Л: ±2,83 °С |
Л: ±0,92 °С | |||||
|
от -40 до +9001) °С |
см. примечание 7 |
см. таблицу 4 | |||||
|
от 0до +600 °С |
Д: ±5,17 °С |
ТХАв 2088 (НСХ К) |
Л: ±2,5 °С в диапазоне измерений от -40 до +333 °С включ., Л: ±(0,0075-t) °С в диапазоне измерений св. +333 до +1200 °С |
MTL4576 -THC |
PAIX01 |
Л: ±1,35 °С | |
|
от -40 до +12001) °С |
см. примечание 7 |
см. таблицу 4 | |||||
|
от 0 до +600 °С |
Л: ±5,06 °С |
ТХАв 2088 (НСХ К) |
Л: ±2,5 °С в диапазоне измерений от -40 до +333 °С включ., Л: ±(0,0075-t) °С в диапазоне измерений св. +333 до +1200 °С |
- |
9481 |
Л: ±0,92 °С | |
|
от 0 до +1100 °С |
Л: ±9,19 °С |
Л: ±1,27 °С | |||||
|
от -40 до +12001) °С |
см. примечание 7 |
см. таблицу 4 | |||||
|
от 0 до +100 °С |
Л: ±0,77 °С |
ТХА-К 204 (НСХ К) |
Л: ±1,5 °С в диапазоне измерений от -40 до +375 °С включ., Л: ±(0,004-t) °С в диапазоне измерений св. +375 до +1000 °С |
- |
9481 |
Л: ±0,57 °С | |
|
от 0 до +1000 °С |
Л: ±4,60 °С |
Л: ±1,20 °С | |||||
|
от -40 до +12001) °С |
см. примечание 7 |
см. таблицу 4 | |||||
|
от -50 до +100 °С |
Л: ±1,02 °С |
ТС-1088 (НСХ Pt 100) |
Л: ±(0,3+0,005-|t|), °С |
MTL4576 -RTD |
PAIX01 |
Л: ±0,47 °С | |
|
от -196 до +6001) °С |
см. примечание 7 |
см. таблицу 4 | |||||
|
от 0 до +100 °С |
Л: ±0,40 °С |
1088 (НСХ Pt 100) |
Л: ±(0,15+0,002-|t|), °С |
- |
9480 |
Л: ±0,08 °С | |
|
от -100 до +4501) °С |
см. примечание 7 |
см. таблицу 4 |
|
1 |
2 |
3 |
4 |
5 |
6 |
7 |
8 |
|
ИК температуры |
от 0 до +100 °С |
g: ±0,34 % |
ТС-Б-У (от 4 до 20 мА) |
g: ±0,25 % |
MTL4544 |
PAIH01 |
д: ±0,17 % |
|
от -50 до +6001) °С |
см. примечание 7 | ||||||
|
от 0 до +400 °С |
Л: ±3,41 °С |
ТХА-0193 и ТХА-1193 (НСХ К) |
Д: ±2,5 °С в диапазоне измерений от -40 до +333 °С включ., Л: ±(0,0075-t) °С в диапазоне измерений св. +333 до +1200 °С |
- |
9481 |
Л: ±0,78 °С | |
|
от 0 до +600 °С |
Л: ±5,06 °С |
Л: ±0,92 °С | |||||
|
от -40 до +1200Х) °С |
см. примечание 7 |
см. таблицу 4 | |||||
|
от 0 до +1100 °С |
Д: ±6,71 °С |
ТХА-0192 (НСХ К) |
Л: ±2,5 °С в диапазоне измерений от -40 до +333 °С включ., Л: ±(0,0075-t) °С в диапазоне измерений св. +333 до +1200 °С |
- |
9481 |
Л: ±1,09 °С | |
|
от -40 до +1200Х) °С |
см. примечание 7 |
см. таблицу 4 | |||||
|
от 0 до +400 °С |
Д: ±3,10 °С |
ТХК 9312 (НСХ L) |
Л: ±2,5 °С в диапазоне измерений от -40 до +300 °С включ., Л: ±(0,7+0.0054) °С в диапазоне измерений св. +300 до +600 °С |
- |
9481 |
Л: ±0,78 °С | |
|
от -40 до +6001) °С |
см. примечание 7 |
см. таблицу 4 | |||||
|
от 0 до +600 °С |
Л: ±3,67 °С |
ТР (НСХ 100 П) |
Л: ±(0,3+0,005-|t|), °С |
- |
9480 |
Л: ±0,45 °С | |
|
от -196 до +650Х) °С |
см. примечание 7 |
см. таблицу 4 |
|
1 |
2 |
3 |
4 |
5 |
6 |
7 |
8 |
|
ИК температуры |
от 0 до +600 °С |
Д: ±6,52 °С |
УТП 106 (НСХ К); ПИ Т (от 4 до 20 мА) |
Д (УТП 106): ±2,5 °С в диапазоне измерений от -40 до +333 °С включ., Д: ±(0,0075-t) °С в диапазоне измерений св. +333 до +1300 °С g (ПИ Т): ±1,0 % в диапазоне измерений от 0 до +500 °С включ., g: ±0,5 % в диапазоне измерений св. +500 до +1000 °С; Д (ХС): ±0,5 °С2) |
MTL4544 |
PAIH01 |
g: ±0,17 % |
|
от 0 до +12001) °С |
см. примечание 7 | ||||||
|
от 0 до +300 °С |
Д: ±7,02 °С |
ТСП-1088 (НСХ 100 П) |
g: ±0,1 % или Д: ±0,1 Ом (берут большее значение) |
MTL4576 -RTD |
PAIX01 |
Д: ±6,34 °С | |
|
от -200 до +600п °С |
см. примечание 7 |
см. таблицу 4 | |||||
|
от 0 до +100 °С |
Д: ±0,78 °С |
ТСП-1088 (НСХ 100 П) |
g: ±0,1 % или Д: ±0,1 Ом (берут большее значение) |
- |
9480 |
Д: ±0,08 °С | |
|
от 0 до +150 °С |
Д: ±0,78 °С |
Д: ±0,12 °С | |||||
|
от 0 до +200 °С |
Д: ±0,79 °С |
Д: ±0,15 °С | |||||
|
от 0 до +400 °С |
Д: ±0,84 °С |
Д: ±0,3 °С | |||||
|
от 0 до +600 °С |
Д: ±0,92 °С |
Д: ±0,45 °С | |||||
|
от -200 до +6001) °С |
см. примечание 7 |
см. таблицу 4 |
|
1 |
2 |
3 |
4 |
5 |
6 |
7 |
8 |
|
ИК объемного расхода |
от 0 до 8 м3/ч; от 0 до 13 м3/ч; от 0 до 100 м3/ч; от 0 до 123 м3/ч; от 0 до 1600 м3/ч; от 0 до 4000 м3/ч; от 0 до 5000 м3/ч; от 0 до 16000 м3/ч; от 0 до 20016 м3/ч1) |
см. примечание 7 |
8800DF (от 4 до 20 мА) |
d: ±0,65 % (для жидкости); d: ±1,35 % (для газа, пара) |
MTL4544 |
PAIH01 |
g: ±0,17 % |
|
от 0 до 20 м3/ч; от 0 до 35 м3/ч; от 0 до 40 м3/ч; от 0 до 135 м3/ч; от 0 до 10000 м3/ч; от 0 до 20016 м3/ч1) |
см. примечание 7 |
СРВ 8800DF (от 4 до 20 мА) |
d: ±6 % (для жидкости, газа и пара с 10000 > Re > 5000); d: ±2 % (для жидкости с 20000 >Re > 10000); d: ±2 % (для газа и пара с 15000 > Re > 10000); d: ±0,65 % (для жидкости с Re > 20000); d: ±1 % (для газа и пара с Re > 15000) |
MTL4544 |
PAIH01 |
g: ±0,17 % | |
|
от 0 до 14 м3/ч; от 0 до 25 м3/ч; от 0 до 50 м3/ч; от 0 до 200 м3/ч; от 0 до 2500 м3/ч; от 0 до 20016 м3/ч1) |
см. примечание 7 |
8800DR (от 4 до 20 мА) |
d: ±0,65 % (для жидкости); d: ±1,35 % (для газа, пара) |
MTL4544 |
PAIH01 |
g: ±0,17 % | |
|
от 0 до 40 м3/ч |
см. примечание 7 |
ADMAG (от 4 до 20 мА) |
5: ±0,35 % |
MTL4544 |
PAIH01 |
g: ±0,17 % | |
|
от 0 до 500 м3/ч |
см. примечание 7 |
Prosonic Flow (от 4 до 20 мА) |
5: ±2 % |
MTL4544 |
PAIH01 |
g: ±0,17 % |
|
1 |
2 |
3 |
4 |
5 |
6 |
7 |
8 |
|
ИК массового расхода |
от 0 до 4200 кг/ч от 0 до 32650 кг/ч1) |
см. примечание 7 |
Micro Motion (от 4 до 20 мА) |
5: ±0,2 % |
MTL4544 |
PAIH01 |
g: ±0,17 % |
|
от 0 до 6,3 т/ч от 0 до 355,968 т/ч1) |
см. примечание 7 |
8800DR (от 4 до 20 мА) |
6: ±0,65 % (для жидкости) и ±1,35 % (для газа, пара) |
MTL4544 |
PAIH01 |
g: ±0,17 % | |
|
от 0 до 2,5 т/ч от 0 до 355,968 т/ч1) |
см. примечание 7 |
8800DF (от 4 до 20 мА) |
6: ±0,65 % (для жидкости) и ±1,35 % (для газа, пара) |
MTL4544 |
PAIH01 |
g: ±0,17 % | |
|
ИК уровня |
от 50 до 850 мм (шкала от 0 до 800 мм); от 50 до 950 мм (шкала от 0 до 900 мм); от 50 до 1050 мм (шкала от 0 до 1000 мм); от 50 до 1350 мм (шкала от 0 до 1300 мм); от 50 до 3050 мм (шкала от 0 до 3000 мм) |
g: ±0,29 % |
244LD (от 4 до 20 мА) |
g: ±0,20 % |
MTL4544 |
PAIH01 |
g: ±0,17 % |
|
от 50 до 50000 мм1) |
см. примечание 7 | ||||||
|
от 0 до 1900 мм |
Д: ±6,55 мм |
FMP 54 (от 4 до 20 мА) |
Д: ±5 мм |
MTL4544 |
PAIH01 |
g: ±0,17 % | |
|
от 0 до 6 м1) |
см. примечание 7 |
|
1 |
2 |
3 |
4 |
5 |
6 |
7 |
8 |
|
ИК уровня |
от 0,25 до 6,29 м (шкала от 0 до 6,04 м); |
g: ±0,59 % |
Сапфир или Сапфир-22 ДУ (от 4 до 20 мА) |
g: ±0,50 % |
MTL4544 |
PAIH01 |
g: ±0,17 % |
|
от 250 до 10000 мм1’ |
см. примечание 7 | ||||||
|
ИК концентрации |
от 0 до 1 % объемной доли СО (шкала от 0 до 1000 млн-1) |
g: ±2,21% |
THERMOX (от 4 до 20 мА) |
д: ±2 % |
MTL4544 |
PAIH01 |
g: ±0,17 % |
|
от 0 до 100 % объемной доли O2 |
g: ±2,21% (для диапазона от 0 до 5 % объемной доли O2); d: ±2,21 % (для диапазона свыше 5 до 100 % объемной доли О2) |
g: ±2 % (для диапазона от 0 до 5 % объемной доли O2); d: ±2 % (для диапазона свыше 5 до 100 % объемной доли O2) | |||||
|
от 60 до 100 % объемной доли H2 |
g: ±4,40 % |
ДИСК или ДИСК-ТК (от 4 до 20 мА) |
g: ±4 % |
MTL4544 |
PAIH01 |
g: ±0,17 % | |
|
ИК НКПР |
от 0 до 50 % НКПР (диапазон показаний от 0 до 100 % НКПР) |
Д: ±5,51 % НКПР |
Drager (от 4 до 20 мА) |
Д: ±5 % НКПР |
MTL4544 |
PAIH01 |
g: ±0,17 % |
|
ИК силы тока |
от 4 до 20 мА |
g: ±0,17 % |
- |
- |
MTL4544 |
PAIH01 |
g: ±0,17 % |
|
g: ±0,075 % |
- |
g: ±0,075 % |
|
1 |
2 |
3 |
4 |
5 |
6 |
7 |
8 |
|
ИК электричес кого сопротивления (температуры) |
НСХ Pt 100 (а=0,00385 °C-1) (шкала от -200 до +850 °С1)); НСХ 100 П (а=0,00391 °C-') (шкала от -200 до +850 °С1)) |
см. таблицу 4 |
- |
- |
- |
9480 |
см. таблицу 4 |
|
MTL4576 -RTD |
PAIX01 | ||||||
|
ИК электрического напряжения (температуры) |
НСХ К (шкала от -270 до +1372 °С1)) НСХ L (шкала от -200 до +800 °С1)) |
см. таблицу 4 |
- |
- |
- |
9481 |
см. таблицу 4 |
|
MTL4576 -THC |
PAIX01 | ||||||
|
1' Указан максимальный диапазон измерений (диапазон измерений может быть настроен на меньший диапазон в соответствии с эксплуатационной документацией на первичный ИП ИК).
А - абсолютная погрешность, в единицах измеряемой величины; d - относительная погрешность, %; g - приведенная к диапазону измерений ИК погрешность, %; дВ - приведенная к верхнему пределу диапазону измерений ИК погрешность, %; ДИтах - верхний предел диапазона измерений; ДИ - настроенный диапазон измерений; t - измеренная температура, °С.
| |||||||
|
2 |
3 |
4 |
5 |
6 |
7 |
-
6 Шкала ИК уровня может быть установлена в ИС в процентах (от 0 до 100 %).
-
7 Пределы допускаемой основной погрешности ИК рассчитывают по формулам : - абсолютная D ИК , в единицах измеряемой величины:
±1,1-



D ИК = ±1,1 't]d ПП + Ч|| ,
где
Dnn
Ybh
Xmax max
min
ВП
пределы допускаемой основной абсолютной погрешности первичного ИП ИК, в единицах измерений измеряемой величины;
пределы допускаемой основной приведенной погрешности вторичной части ИК, %;
значение измеряемого параметра, соответствующее максимальному значению диапазона аналогового сигнала, в единицах измерений измеряемой величины;
значение измеряемого параметра, соответствующее минимальному значению границы диапазона аналогового сигнала, в единицах измерений измеряемой величины;
пределы допускаемой основной абсолютной погрешности вторичной части ИК, в единицах измерений измеряемой величины;
- относительная d ИК , %:

±1,1-


где 8ПП - пределы допускаемой основной относительной погрешности первичного ИП ИК, %;
Хизм - измеренное значение, в единицах измерений измеряемой величины;
- приведенная g ИК , %:
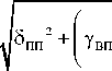
gИК = ±1=1л/дПП2 + УвП2 ,
где дПП - пределы допускаемой основной приведенной погрешности первичного ИП ИК, %.
-
8 Для расчета погрешности ИК в условиях эксплуатации:
-
- приводят форму представления основных и дополнительных погрешностей измерительных компонентов ИК к единому виду (приведенная, относительная, абсолютная);
-
- для каждого измерительного компонента ИК рассчитывают пределы допускаемых значений погрешности в условиях эксплуатации путем учета основной и дополнительных погрешностей от влияющих факторов.
2
3
4
5
6
7
Продолжение таблицы 5
Пределы допускаемых значений погрешности измерительного компонента ИК в условиях эксплуатации рассчитывают по формуле
Аси =±а Л0 +ED2 .
i=0
где
D0
Di
пределы допускаемой основной погрешности измерительного компонента;
погрешности измерительного компонента от i-го влияющего фактора в условиях эксплуатации при общем числе n учитываемых влияющих факторов.
Для каждого ИК рассчитывают границы. в которых c вероятностью равной 0.95 должна находиться его погрешность в условиях эксплуатации. по формуле
D ик =±1.1\t (D ghj)2'
j=0
где
DGHj
пределы допускаемых значений погрешности ЛСИ j-го измерительного компонента ИК в условиях эксплуатации.

