Номер по Госреестру СИ: 75665-19
75665-19 Система измерительная установок тит. 517, тит. 526, тит. 532, тит. 81-44 ООО "ЛУКОЙЛ-Пермнефтеоргсинтез"
(Нет данных)
Назначение средства измерений:
Система измерительная установок тит. 517, тит. 526, тит. 532, тит. 81-44 ООО «ЛУКОЙЛ-Пермнефтеоргсинтез» (далее - ИС) предназначена для измерений параметров технологического процесса в реальном масштабе времени (давления, перепада давления, температуры, объемного расхода, массового расхода, уровня, температуры точки росы, водородного показателя).
Программное обеспечение
Программное обеспечение (далее - ПО) ИС обеспечивает реализацию функций ИС.
Защита ПО ИС от непреднамеренных и преднамеренных изменений и обеспечение его соответствия утвержденному типу осуществляется путем идентификации, защиты от несанкционированного доступа.
Идентификационные данные ПО ИС приведены в таблице 2.
Таблица 2 - Идентификационные данные ПО ИС
|
Идентификационные данные (признаки) |
Значение |
|
Идентификационное наименование ПО |
ExperionPKS |
|
Номер версии (идентификационный номер) ПО |
не ниже 410.1 |
|
Цифровой идентификатор ПО |
- |
ПО ИС защищено от несанкционированного доступа, изменения алгоритмов и установленных параметров путем введения логина и пароля, ведения доступного только для чтения журнала событий.
Уровень защиты ПО ИС «средний» в соответствии с Р 50.2.077-2014.
Знак утверждения типа
Знак утверждения типа наносится на титульный лист паспорта типографским способом.
Сведения о методиках измерений
Сведения о методиках (методах) измерений
приведены в эксплуатационном документе.
Нормативные и технические документы
Нормативные документы, устанавливающие требования к системе измерительной установок тит. 517, тит. 526, тит. 532, тит. 81-44 ООО «ЛУКОЙЛ-Пермнефтеоргсинтез»
ГОСТ Р 8.596-2002 ГСИ. Метрологическое обеспечение измерительных систем. Основные положения
Поверка
Поверкаосуществляется по документу МП 0812/1-311229-2018 «Государственная система обеспечения единства измерений. Система измерительная установок тит. 517, тит. 526, тит. 532, тит. 81-44 ООО «ЛУКОЙЛ-Пермнефтеоргсинтез». Методика поверки», утвержденному ООО Центр Метрологии «СТП» 08 декабря 2018 г.
Основные средства поверки:
-
- средства поверки в соответствии с документами на поверку средств измерений, входящих в состав ИС;
-
- калибратор многофункциональный MC5-R-IS (регистрационный номер
22237-08).
Допускается применение аналогичных средств поверки, обеспечивающих определение метрологических характеристик поверяемых СИ с требуемой точностью.
Знак поверки наносится на свидетельство о поверке ИС.
Изготовитель
Общество с ограниченной ответственностью «ЛУКОЙЛ-Пермнефтеоргсинтез» (ООО «ЛУКОЙЛ-Пермнефтеоргсинтез»)
ИНН 5905099475
Адрес: 614055, г. Пермь, ул. Промышленная, 84
Телефон: (342) 2202467, факс: (342) 2202288
Web-сайт: http://pnos.lukoil.ru/ru
E-mail: lukpnos@pnos.lukoil.com
Испытательный центр
Общество с ограниченной ответственностью Центр Метрологии «СТП»
Адрес: 420107, Республика Татарстан, г. Казань, ул. Петербургская, д. 50, корп. 5, офис 7
Телефон: (843) 214-20-98, факс: (843) 227-40-10
Web-сайт: http://www.ooostp.ru
Принцип действия ИС основан на непрерывном измерении, преобразовании и обработке при помощи системы измерительно-управляющей ExperionPKS (регистрационный номер в Федеральном информационном фонде (далее - регистрационный номер) 67039-17) (далее -ExperionPKS) входных сигналов, поступающих по измерительным каналам (далее - ИК) от первичных и промежуточных измерительных преобразователей (далее - ИП).
ИС осуществляет измерение параметров технологического процесса следующим образом:
-
- первичные ИП преобразуют текущие значения параметров технологического процесса в аналоговые электрические сигналы силы постоянного тока от 4 до 20 мА и сигналы термопреобразователей сопротивления;
-
- аналоговые электрические сигналы силы постоянного тока от 4 до 20 мА от первичных ИП поступают на входы преобразователей измерительных серии MTL4500 модели MTL4544 (регистрационный номер 39587-14) (далее - MTL4544) и далее на входы модулей аналогового ввода серии Chassis I/O Modules - Series C моделей HLAI CC-PAIX01 или HLAI CC-PAIH02 ExperionPKS (далее - PAIX01, PAIH02 соответственно) (часть сигналов поступает на модули ввода аналоговых сигналов без барьеров искрозащиты);
-
- сигналы термопреобразователей сопротивления поступают на входы преобразователей измерительных серии MTL4500 модели MTL4576 (регистрационный номер 39587-14) (далее -MTL4576) и далее на входы PAIX01 или PAIH02.
Цифровые коды, преобразованные посредством модулей ввода аналоговых сигналов в значения физических параметров технологического процесса, отображаются на мнемосхемах мониторов операторских станций управления в виде числовых значений, гистограмм, трендов, текстов, рисунков и цветовой окраски элементов мнемосхем, а также интегрируется в базу данных ИС.
ИС включает в себя также резервные ИК.
Состав средств измерений, применяемых в качестве первичных ИП ИК, указан в таблице 1.
Таблица 1 - Средства измерений, применяемые в качестве первичных ИП ИК
|
Наименование ИК |
Наименование первичного ИП ИК |
Регистрационный номер |
|
1 |
2 |
3 |
|
ИК давления |
Измерительный преобразователь давления 3051 фирмы Fisher-Rosemount (далее -ИПД 3051) |
14061-94 |
|
1 |
2 |
3 |
|
ИК давления |
Преобразователь давления измерительный 3051 (далее - ПД 3051) |
14061-99 |
|
Преобразователь давления измерительный 3051 (далее - ПДИ 3051) |
14061-04 | |
|
Преобразователь давления измерительный 3051 модификации 3051TG (далее - 3051TG) |
14061-10 | |
|
Преобразователь давления измерительный 3051 модели 3051T (далее - 3051T) |
14061-15 | |
|
Преобразователь давления измерительный EJA модели EJA 530 (далее - EJA 530) |
14495-09 | |
|
Преобразователь давления измерительный 2088 (далее - ПДИ 2088) |
16825-97 | |
|
Преобразователь давления измерительный 2088 (далее - ПД 2088) |
16825-02 | |
|
Преобразователь давления измерительный MBS модификации MBS 3000 (далее - MBS 3000) |
23068-08 | |
|
Датчик давления DMP модели DMP 330 (далее - ДД DMP 330) |
44736-10 | |
|
Преобразователь давления измерительный 401001 (далее - ПДИ 401001) |
57663-14 | |
|
Датчик давления 1151 фирмы «Rosemount» (США) модели LT (далее - 1151LT) |
13849-94 | |
|
Преобразователь многопараметрический 3095 модификации 3095 MV (далее - 3095 MV) |
14682-00 | |
|
Преобразователь многопараметрический 3095 модификации 3095MA (далее - 3095MA) |
14682-06 | |
|
ИК перепада давления |
ПД 3051 |
14061-99 |
|
ПДИ 3051 |
14061-04 | |
|
Преобразователь давления измерительный 3051 модели 3051C (далее - 3051C) |
14061-15 | |
|
Преобразователь многопараметрический 3051SMV (далее - 3051SMV) |
46317-15 | |
|
3095 MV |
14682-00 | |
|
3095MA |
14682-06 | |
|
ИК температуры |
Т ермопреобразователь сопротивления ТСП 9201 (далее - ТСП 9201) |
13587-01 |
|
Т ермопреобразователь сопротивления ТСП-0193 (далее - ТСП-0193) |
14217-97 | |
|
Термопреобразователь сопротивления ТСПТ (далее - ТС ТСПТ) |
16795-97 | |
|
Т ермопреобразователь сопротивления ТСП 9417 (далее - ТСП 9417) |
18092-99 | |
|
Термопреобразователь сопротивления серии 1088 (далее - ТС-1088) |
18131-04 | |
|
Термометр сопротивления из платины и меди ТС модификации ТС-1088 (далее - ТСП ТС-1088) |
18131-09 |
|
1 |
2 |
3 |
|
ИК температуры |
Термопреобразователь сопротивления из платины и меди ТС и его чувствительный элемент ЧЭ модификации ТС-1088 (далее -ТС ТС-1088) |
58808-14 |
|
Т ермопреобразователь сопротивления платиновый серии 78 (далее - ТСП 78) |
22255-01 | |
|
Термопреобразователь сопротивления платиновый ТСПТ модификации 201 (далее -ТСПТ 201) |
36766-09 | |
|
Термопреобразователь сопротивления ТСП исполнения ТСП 9201 (далее - ТС ТСП 9201) |
50071-12 | |
|
Т ермопреобразователь сопротивления ТСП-0193 (далее - ТС ТСП-0193) |
56560-14 | |
|
ИК объемного расхода |
Расходомер-счетчик вихревой 8800 (далее - РСВ 8800) |
14663-06 |
|
Расходомер-счетчик вихревой 8800 (далее -Расходомер 8800) |
64613-16 | |
|
Счетчик-расходомер электромагнитный ADMAG модификации AXF (далее - ADMAG AXF) |
17669-09 | |
|
Счетчик-расходомер электромагнитный ADMAG модификации AXF (далее - СР ADMAG AXF) |
59435-14 | |
|
Расходомер-счетчик ультразвуковой Prosonic Flow в комплекте с накладными датчиками модели P и электронным блоком 93 (далее -Prosonic Flow 93P) |
29674-12 | |
|
Расходомер-счетчик электромагнитный «SITRANS F M» исполнения MAG5100W/5000 (далее - MAG5100W/5000) |
35024-07 | |
|
Расходомер-счетчик электромагнитный SITRANS FM в комплекте с первичным преобразователем MAG5100W и преобразователем сигналов MAG5000 (далее -РСЭ MAG5100W/5000) |
35024-12 | |
|
ИК массового расхода |
Расходомер-счетчик массовый «Thermatel» мод. TA2 (далее - TA2) |
31339-06 |
|
ИК уровня |
Уровнемер буйковый серии 249-2390 в комплекте с первичным преобразователем серии 249 модели 249BP и вторичным преобразователем поворота торсионной трубки в электрический сигнал 2390 модели 2390B (далее - 249BP-2390B) |
14164-99 |
|
Уровнемер микроволновый Micropilot FMR5* исполнения Micropilot FMR51 (далее - FMR51) |
55965-13 | |
|
ИК температуры точки росы |
Г игрометр «ИВА-8» (далее - ИВА-8) |
13560-93 |
|
ИК водородного показателя |
Преобразователь измерительный DULCOMETER DMT (далее - DMT) |
26893-04 |
ИС выполняет:
- автоматизированное измерение, регистрацию, обработку, контроль , хранение и индикацию параметров технологического процесса;
- предупредительную и аварийную сигнализацию при выходе параметров технологического процесса за установленные границы и при обнаружении неисправности в работе оборудования;
- управление технологическим процессом в реальном масштабе времени;
- противоаварийную защиту оборудования установки;
- отображение технологической и системной информации на операторской станции управления;
- накопление, регистрацию и хранение поступающей информации;
- самодиагностику;
- автоматическое составление отчетов и рабочих (режимных) листов;
- защиту системной информации от несанкционированного доступа к программным средствам и изменения установленных параметров.
Пломбирование ИС не предусмотрено.
Комплектность ИС представлена в таблице 6.
Таблица 6 - Комплектность ИС
|
Наименование |
Обозначение |
Количество |
|
Система измерительная установок тит. 517, тит. 526, тит. 532, тит. 81-44 ООО «ЛУКОЙЛ-Пермнефтеоргсинтез», заводской № LUKPRM14-EX13/1844 |
- |
1 шт. |
|
Руководство по эксплуатации |
- |
1 экз. |
|
Паспорт |
- |
1 экз. |
|
Методика поверки |
МП 0812/1-311229- |
1 экз. |
|
2018 |
Основные технические характеристики ИС представлены в таблице 3.
Таблица 3 - Основные технические характеристики ИС
|
Наименование характеристики |
Значение |
|
1 |
2 |
|
Параметры электрического питания: - напряжение переменного тока, В |
3 8 0-76 ; 220+23 |
|
- частота переменного тока, Гц |
50±1 |
|
Потребляемая мощность, кВ • А, не более |
10 |
|
1 |
2 |
|
Условия эксплуатации: а) температура окружающей среды, °С:
б) относительная влажность, %:
в) атмосферное давление, кПа |
от +15 до +25 от -40 до +50 от 20 до 80, без конденсации влаги не более 95, без конденсации влаги от 84,0 до 106,7 кПа |
|
Примечание - ИП, эксплуатация которых в указанных диапазонах температуры окружающей среды и относительной влажности не допускается, эксплуатируются при температуре окружающей среды и относительной влажности, указанных в технической документации на данные ИП. | |
Метрологические характеристики вторичной части ИК ИС приведены в таблице 4.
Таблица 4 - Метрологические характеристики вторичной части ИК ИС
|
Тип барьера искрозащиты |
Тип модуля ввода/вывода |
Пределы допускаемой основной погрешности |
|
1 |
2 |
3 |
|
MTL4544 |
PAIX01 или PAIH02 |
g: ±0,17 % |
|
- |
g: ±0,075 % | |
|
MTL4576 |
PAIX01 или PAIH02 |
Для каналов, воспринимающих сигналы термопреобразователей сопротивления с НСХ Pt 100: D = ±f 0,08 ( ) 0,016 ( ) 0,075 )°с 1 г, -rj (tmax tmin) + лг (tmax tmin) (tmax tmin) 1’ I Rmax - Rmin 16 100 0 Для каналов, воспринимающих сигналы термопреобразователей сопротивления с НСХ 100 П: A-+f 0,08 ■ (t t.) + 0,016 ■ (t t.) + 0,075 ■ (t t.) + 5-10-5 ■ R2 + 0,03 ■ R 3 VC Rmax - Rmln 16 100 max ' изм 7 |
|
Примечание - Приняты следующие обозначения: g - приведенная к диапазону измерений погрешность, %; НСХ - номинальная статическая характеристика; А - абсолютная погрешность, в единицах измеряемой величины; Rmax - значение сопротивления термопреобразователей сопротивления, соответствующее верхнему пределу измерений температуры ИК, Ом; Rmin - значение сопротивления термопреобразователей сопротивления, соответствующее нижнему пределу измерений температуры ИК, Ом; Rjra, - значение сопротивления термопреобразователей сопротивления, соответствующее измеренному значению температуры ИК, Ом; tmax - верхний предел диапазона измерений температуры ИК, °С; tmln - нижний предел диапазона измерений температуры ИК, °С. | ||
Метрологические характеристики ИК ИС приведены в таблице 5.
Таблица 5 - Метрологические характеристики ИК ИС
|
Метрологические характеристики ИК |
Метрологические характеристики измерительных компонентов ИК | ||||||
|
Первичный ИП |
Вторичная часть | ||||||
|
Наименование ИК |
Диапазоны измерений |
Пределы допускаемой основной погрешности |
Тип (выходной сигнал) |
Пределы допускаемой основной погрешности |
Тип барьера искро-защиты |
Тип модуля ввода/вывода |
Пределы допускаемой основной погрешности |
|
1 |
2 |
3 |
4 |
5 |
6 |
7 |
8 |
|
ИК давления |
от 0 до 1 МПа; от -0,1 до 1,034 МПа1) |
g: ±0,21 при соотношении ДИтах/ДИ 3051 менее чем 10:1; g: ±0,25 % при соотношении ДИтах/ДИ 3051 более чем 10:1 |
ИПД 3051 (от 4 до 20 мА) |
g: ±0,075 % при соотношении ДИтах/ДИ менее чем 10:1; g: ±0,15 % при соотношении ДИтах/ДИ более чем 10:1 |
MTL4544 |
PAIH02 |
g: ±0,17 % |
|
от 0 до 350 кПа; от 0 до 0,98 МПа; от 0 до 1,4 МПа; от 0 до 10 МПа; от 0 до 16 МПа; от 0 до 207 кПа1); от 0 до 5520 кПа1); от 0 до 27579 кПа1* |
g: ±0,21 при соотношении ДИтах/ДИ 3051 менее чем 10:1; g: ±0,25 % при соотношении ДИтах/ДИ 3051 более чем 10:1 |
ПД 3051 (от 4 до 20 мА) |
g: ±0,075 при соотношении ДИтах/ДИ менее чем 10:1; g: ±0,15 % при соотношении ДИтах/ДИ более чем 10:1 |
MTL4544 |
PAIH02 |
g: ±0,17 % | |
|
от 0 до 17,6 кПа; от 0 до 0,6 МПа; от 0 до 1,4 МПа; от 0 до 207 кПа1); от 0 до 1030 кПа1); от 0 до 5520 кПа1); от 0 до 27579 кПа1* |
g: ±0,20 при соотношении ДИтах/ДИ менее чем 5:1; g: ±0,21 % при соотношении ДИтах/ДИ более чем 10:1 |
ПДИ 3051 (от 4 до 20 мА) |
g: ±0,04 при соотношении ДИтах/ДИ менее чем 5:1; g: ±0,065 % при соотношении ДИтах/ДИ более чем 10:1 |
MTL4544 |
PAIH02 |
g: ±0,17 % | |
|
1 |
2 |
3 |
4 |
5 |
6 |
7 |
8 |
|
ИК давления |
от 0 до 0,6 МПа; от 0 до 1 МПа; от 0 до 1,4 МПа; от 0 до 1,5 МПа; от 0 до 206 кПа1); от 0 до 1034 кПа1); от 0 до 5515 кПа1); от 0 до 27579 кПа1-* |
g: ±0,20 при соотношении ДИтах/ДИ<5; g: ±0,21 % при соотношении ДИтах/ ДИ< 10 |
3051TG (от 4 до 20 мА* |
g: ±0,04 при соотношении ДИтах/ДИ<5; g: ±0,065 % при соотношении ДИтах/ ДИ< 10 |
MTL4544 |
PAIH02 |
g: ±0,17 % |
|
от 0 до 16,57 кПа; от 0 до 23,4 кПа; от 0 до 27,2 кПа; от 0 до 34,2 кПа; от 0 до 0,1 МПа; от 0 до 0,4 МПа от 0 до 0,6 МПа; от 0 до 1 МПа; от 0 до 1,6 МПа; от 0 до 1030 кПа1); от 0 до 5500 кПа1); от 0 до 27600 кПа1* |
g: от ±0,20 до ±1,26 % |
3051T (от 4 до 20 мА* |
g: от ±0,04 до ±1,125 % |
MTL4544 |
PAIH02 |
g: ±0,17 % | |
|
от 0 до 1 МПа; от 0 до 2 МПа1* |
g: от ±0,29 до ±0,69 % |
EJA 530 (от 4 до 20 мА) |
g: от ±0,20 до ±0,60 % |
MTL4544 |
PAIH02 |
g: ±0,17 % |
|
1 |
2 |
3 |
4 |
5 |
6 |
7 |
8 |
|
ИК давления |
от 0 до 0,6 МПа; от 0 до 1 МПа; от 0 до 1,4 МПа; от 0 до 1,5 МПа; от 0 до 1,6 МПа; от 0 до 2,5 МПа; от 0 до 3,5 МПа; от 0 до 6 МПа; от 0 до 10 МПа; от 0 до 16 МПа; |
g: ±0,34 % |
ПДИ 2088 (от 4 до 20 мА) |
g: ±0,2 %; ±0,25 % |
MTL4544 |
PAIH02 |
g: ±0,17 % |
|
от 0 до 27,6 МПа1-* |
см. примечание 6 | ||||||
|
от 0 до 0,35 МПа |
g: ±0,34 % |
ПД 2088 (от 4 до 20 мА) |
g: ±0,1 %; ±0,2 %; ±0,25 % |
MTL4544 |
PAIH02 |
g: ±0,17 % | |
|
от 0 до 5,5 МПа1* |
см. примечание 6 | ||||||
|
от 0 до 0,6 МПа |
g: ±0,59 % |
MBS 3000 (от 4 до 20 мА) |
g: ±0,5 % |
MTL4544 |
PAIH02 |
g: ±0,17 % | |
|
от 0 до 0,6 МПа; от 0 до 1 МПа; от 0 до 6 МПа; от 0 до 10 МПа; от 0 до 16 МПа |
g: ±0,59 % |
ДД DMP 330 (от 4 до 20 мА) |
g: ±0,5 % |
MTL4544 |
PAIH02 |
g: ±0,17 % |
|
1 |
2 |
3 |
4 |
5 |
6 |
7 |
8 |
|
ИК давления |
от 0 до 1 МПа; от 0 до 2,5 МПа |
g: ±0,59 % |
ПДИ 401001 (от 4 до 20 мА) |
g: ±0,5 %; ±1 % |
MTL4544 |
PAIH02 |
g: ±0,17 % |
|
от -0,1 до 10 МПа1:) |
см. примечание 6 | ||||||
|
от 0 до 17,16 кПа; от 0 до 66,7 кПа |
g: ±0,29 % |
1151LT (от 4 до 20 мА) |
g: ±0,1 %; ±0,2 % |
MTL4544 |
PAIH02 |
g: ±0,17 % | |
|
от 0 до 689,5 кПа1) |
см. примечание 6 | ||||||
|
от 0 до 1,5 МПа; от 0 до 1,6 МПа |
g: ±0,21 % |
3095 MV (от 4 до 20 мА) |
g1: от ±0,075 до ±0,78 % |
MTL4544 |
PAIH02 |
g: ±0,17 % | |
|
от 0 до 5515,8 кПа1) |
см. примечание 6 | ||||||
|
от 0 до 1,5 МПа |
g: ±0,21 % |
3095MA (от 4 до 20 мА) |
g1: от ±0,075 до ±0,78 % |
MTL4544 |
PAIH02 |
g: ±0,17 % | |
|
от 0 до 5515,8 кПа1) |
см. примечание 6 | ||||||
|
ИК перепада давления |
от -1,6 до 0 кПа; от 0 до 24,4 кПа; от 0 до 29,3 кПа; от 0 до 39,2 кПа; от 0 до 61,6 кПа; от -248 до 248 кПа1) |
g: ±0,21 при соотношении ДИтах/ДИ менее чем 10:1; g: ±0,25 % при соотношении ДИтах/ДИ более чем 10:1 |
ПД 3051 (от 4 до 20 мА) |
g: ±0,075 при соотношении ДИтах/ДИ менее чем 10:1; g: ±0,15 % при соотношении ДИтах/ДИ более чем 10:1 |
MTL4544 |
PAIH02 |
g: ±0,17 % |
|
от 0 до 29,3 кПа; от 0 до 23,54 кПа; от -248 до 248 кПа1) |
g: ±0,20 при соотношении ДИтах/ДИ менее чем 5:1; g: ±0,21 % при соотношении ДИтах/ДИ более чем 10:1 |
ПДИ 3051 (от 4 до 20 мА) |
g: ±0,04 при соотношении ДИтах/ДИ менее чем 5:1; g: ±0,065 % при соотношении ДИтах/ДИ более чем 10:1 |
MTL4544 |
PAIH02 |
g: ±0,17 % |
|
1 |
2 |
3 |
4 |
5 |
6 |
7 |
8 |
|
ИК перепада давления |
от 0 до 10 кПа; от 0 до 18,8 кПа; от 0 до 21,2 кПа; от 0 до 24,4 кПа; от 0 до 29,1 кПа; от 0 до 30,7 кПа; от 0 до 34,6 кПа; от 0 до 36,5 кПа; от 0 до 39,1 кПа; от 0 до 40 кПа; от 0 до 47,1 кПа; от 0 до 49 кПа; от 0 до 60 кПа; от 0 до 98 кПа; от -248 до 248 кПап |
g: от ±0,20 до ±0,60 % |
3051C (от 4 до 20 мА) |
g: от ±0,040 до ±0,515 % |
MTL4544 |
PAIH02 |
g: ±0,17 % |
|
1 |
2 |
3 |
4 |
5 |
6 |
7 |
8 |
|
ИК перепада давления |
от 0 до 15,86 кПа; от 0 до 25,03 кПа |
g: ±0,20 % |
3051SMV (от 4 до 20 мА- |
Для исполнения Classic: g: ±0,035 % (при ДИтах/ДИ< 10) И g: ±(0,015+ +0,005^ ДИтах/ДИ) % (при ДИтах/ ДИ>10); для исполнения Classic MV: g: ±0,04 % (при ДИтах/ДИ<10) и g: ±(0,01+0,004^ДИтах/ДИ) % (при ДИтах/ДИ>10); для исполнения Ultra: g: ±0,025 % (при ДИтах/ДИ<10) и g: ±(0,005+ +0,0035^ ДИтах/ДИ) % (при ДИтах/ДИ>10); для исполнения Ultra for Flow: 6: ±0,04 % (при ДИтах/ДИ<8) и 6: ±(0,04+ ■0,002.v ДИтах/Ризм) % (при 8< ДИтах/ДИ<200) |
MTL4544 |
PAIH02 |
g: ±0,17 % |
|
от -62 до 62 кПа1); от -249 до 249 кПа1) |
см. примечание 6 | ||||||
|
от 0 до 9,8 кПа; от 0 до 10,6 кПа; от 0 до 24,8 кПа; от 0 до 39,3 кПа; от 0 до 61 кПа; от 0 до 61,3 кПа; от 0 до 62 кПа |
g: ±0,21 % |
3095 MV (от 4 до 20 мА- |
g1: от ±0,075 до ±0,525 % |
MTL4544 |
PAIH02 |
g: ±0,17 % | |
|
от 0 до 62,2 кПа1-*; от 0 до 248 кПа1- |
см. примечание 6 |
|
1 |
2 |
3 |
4 |
5 |
6 |
7 |
8 |
|
ИК перепада давления |
от 0 до 24,5 кПа; от 0 до 61,5 кПа |
g: ±0,2 % |
3095MA (от 4 до 20 мА) |
g1: от ±0,050 до ±0,525 % |
MTL4544 |
PAIH02 |
g: ±0,17 % |
|
от 0 до 62,2 кПа1-*; от 0 до 248 кПа1- |
см. примечание 6 | ||||||
|
ИК температуры |
от 0 до +100 °С |
Л: ±2,92 °С |
ТСП 9201 (НСХ 100П) |
Л: ±(0,15+0,002-|t|), °С или Л: ±(0,3+0,005-|t|), °С |
MTL4576 |
PAIX01 |
Л: ±2,53 °С |
|
от 0 до +150 °С |
Л: ±3,99 °С |
Л: ±3,47 °С | |||||
|
от 0 до +200 °С |
Д: ±5,09 °С |
Л: ±4,44 °С | |||||
|
от 0 до +250 °С |
Д: ±6,22 °С |
Л: ±5,43 °С | |||||
|
от -200 до +600 °С1- |
см. примечание 6 |
см. таблицу 4 | |||||
|
от 0 до +100 °С |
Л: ±2,92 °С |
ТСП-0193 (НСХ 100П) |
Л: ±(0,15+0,002-|t|), °С или Л: ±(0,3+0,005-|t|), °С |
MTL4576 |
PAIX01 |
Л: ±2,53 °С | |
|
от -200 до +500 °С1- |
см. примечание 6 |
см. таблицу 4 | |||||
|
от 0 до +50 °С |
Л: ±1,87 °С |
ТС ТСПТ (НСХ 100П) |
Л: ±(0,15+0,002-|t|), °С или Л: ±(0,3+0,005-|t|), °С |
MTL4576 |
PAIX01 |
Л: ±1,6 °С | |
|
от -50 до +600 °С1- |
см. примечание 6 |
см. таблицу 4 | |||||
|
от 0 до +50 °С |
Л: ±1,79 °С |
ТСП 9417 (НСХ 100П) |
Л: ±(0,15+0,002-|t|), °С |
MTL4576 |
PAIX01 |
Л: ±1,6 °С | |
|
от 0 до +100 °С |
Л: ±2,81 °С |
Л: ±2,53 °С | |||||
|
от -50 до +100 °С1- |
см. примечание 6 |
см. таблицу 4 | |||||
|
от 0 до +160 °С |
Л: ±1,33 °С |
ТС-1088 (НСХ Pt 100) |
Л: ±(0,15+0,002-|t|), °С или Л: ±(0,3+0,005-|t|), °С |
MTL4576 |
PAIX01 |
Л: ±0,49 °С | |
|
от -50 до +500 °С1- |
см. примечание 6 |
см. таблицу 4 | |||||
|
от 0 до +150 °С |
Л: ±1,27 °С |
ТСП ТС-1088 (НСХ Pt 100) |
Л: ±(0,15+0,002-|t|), °С или Л: ±(0,3+0,005-|t|), °С |
MTL4576 |
PAIX01 |
Л: ±0,48 °С | |
|
от -50 до +100 °С |
Л: ±1 °С |
Л: ±0,42 °С | |||||
|
от -50 до +600 °С1- |
см. примечание 6 |
см. таблицу 4 | |||||
|
от 0 до +100 °С |
Л: ±0,95 °С |
ТС ТС-1088 (НСХ Pt 100) |
Л: ±(0,15+0,002-|t|), °С или Л: ±(0,3+0,005-|t|), °С |
MTL4576 |
PAIX01 |
Л: ±0,32 °С | |
|
от -196 до +600 °С1- |
см. примечание 6 |
см. таблицу 4 |
|
1 |
2 |
3 |
4 |
5 |
6 |
7 |
8 |
|
ИК температуры |
от 0 до +100 °С |
Л: ±0,98 °С |
ТСП 78 (НСХ Pt 100) |
Л: ±(0,15+0,002-|t|), °С или Л: ±(0,3+0,005-|t|), °С |
MTL4576 |
PAIX01 |
Л: ±0,39 °С |
|
от 0 до +150 °С |
Л: ±1,27 °С |
Л: ±0,48 °С | |||||
|
от 0 до +200 °С |
Д: ±1,57 °С |
Л: ±0,57 °С | |||||
|
от 0 до +250 °С |
Д: ±1,86 °С |
Л: ±0,66 °С | |||||
|
от 0 до +300 °С |
Л: ±2,15 °С |
Л: ±0,74 °С | |||||
|
от 0 до +500 °С |
Л: ±3,31 °С |
Л: ±1,1 °С | |||||
|
от -200 до +660 °СП |
см. примечание 6 |
см. таблицу 4 | |||||
|
от 0 до +200 °С |
Л: ±0,8 °С |
ТСПТ 201 (НСХ Pt 100) |
Л: ±(0,1+0,0017-|t|), °С или Л: ±(0,15+0,002-|t|), °С, или Л: ±(0,3+0,005-|t|), °С |
MTL4576 |
PAIX01 |
Л: ±0,57 °С | |
|
от -50 до +600 °С1) |
см. примечание 6 |
см. таблицу 4 | |||||
|
от 0 до +100 °С |
Л: ±0,53 °С |
ТС ТСП 9201 (НСХ Pt 100) |
Л: ±(0,15+0,002-|t|), °С или Л: ±(0,3+0,005-|t|), °С |
MTL4576 |
PAIX01 |
Л: ±0,39 °С | |
|
от 0 до +150 °С |
Л: ±1,27 °С |
Л: ±0,48 °С | |||||
|
от -200 до +600 °С1) |
см. примечание 6 |
см. таблицу 4 | |||||
|
от 0 до +100 °С |
Л: ±0,98 °С |
ТС ТСП-0193 (НСХ Pt 100) |
Л: ±(0,15+0,002-|t|), °С или Л: ±(0,3+0,005-|t|), °С |
MTL4576 |
PAIX01 |
Л: ±0,39 °С | |
|
от 0 до +160 °С |
Л: ±1,33 °С |
Л: ±0,49 °С | |||||
|
от -50 до +500 °С1) |
см. примечание 6 |
см. таблицу 4 | |||||
|
ИК объемного расхода |
от 0 до 100 м3/ч |
см. примечание 6 |
РСВ 8800 (от 4 до 20 мА) |
6: ±0,65 % |
MTL4544 |
PAIH02 |
g: ±0,17 % |
|
1 |
2 |
3 |
4 |
5 |
6 |
7 |
8 |
|
ИК объемного расхода |
от 0 до 400 м3/ч |
см. примечание 6 |
Расходомер 8800 (от 4 до 20 мА) |
Для жидкости с Re>20000 (кроме исполнения 8800DR с Ду от 150 до 300 мм) 6: ±0,65 %. Для жидкости с Re>20000 (для исполнения 8800DR с Ду от 150 до 300 мм) 6: ±1,0 %. Для газа и пара с Re>15000 (кроме исполнения 8800DR с Ду от 150 до 300 мм) 6: ±1,0 %. Для газа и пара с Re>15000 (для исполнения 8800DR с Ду от 150 до 300 мм) 6: ±1,35 %. Для жидкости, газа и пара с 20000 (15000)>Re>10000 6: ±2,0 %. Для жидкости, газа и пара с 10000>Re>5000 6: ±6,0 %. g: ±0,025 % (погрешность преобразования расхода в токовый выходной сигнал) |
MTL4544 |
PAIH02 |
g: ±0,17 % |
|
от 0 до 3,2 м3/ч; от 0 до 250 м3/ч |
см. примечание 6 |
ADMAG AXF (от 4 до 20 мА) |
6: ±0,35 % |
MTL4544 |
PAIH02 |
g: ±0,17 % |
|
1 |
2 |
3 |
4 |
5 |
6 |
7 |
8 |
|
ИК объемного расхода |
от 0 до 100 м3/ч; от 0 до 160 м3/ч |
см. примечание 6 |
СР ADMAG AXF (от 4 до 20 мА) |
6: ±0,35 % |
MTL4544 |
PAIH02 |
д: ±0,17 % |
|
от 0 до 250 м3/ч |
см. примечание 6 |
Prosonic Flow 93P (от 4 до 20 мА) |
Д2): ±(0,5+0,05^Vmax/V) % для 15<Ду<200; ±(0,5+0,02^Vmax/V) % 3) для Ду>200; Д3): ±(3,0+0,05^Vmax/V) % для 15<Ду<25; ±(2,0+0,05^Vmax/V) % для 25<Ду<200; ±(2,0+0,02^Vmax/V) % для Ду>200 |
MTL4544 |
PAIH02 |
g: ±0,17 % | |
|
от 0 до 100 м3/ч; от 0 до 400 м3/ч |
см. примечание 6 |
MAG5100W/5000 (от 4 до 20 мА) |
6: ±0,5 для V>0,5 м/с; 6: от ±0,5 до 2,25 % для 0,1<V<0,5 м/с |
MTL4544 |
PAIH02 |
д: ±0,17 % | |
|
от 0 до 250 м3/ч; от 0 до 400 м3/ч |
см. примечание 6 |
РСЭ MAG5100W/5000 (от 4 до 20 мА) |
6: ±0,4 для V>0,5 м/с; 6: от ±0,4 до 2,25 % для 0,1<V<0,5 м/с |
MTL4544 |
PAIH02 |
д: ±0,17 % | |
|
ИК массового расхода |
от 0 до 1165 кг/ч |
см. примечание 6 |
TA2 (от 4 до 20 мА) |
6: ±(0,5^ш/ Qt+1) % |
MTL4544 |
PAIH02 |
д: ±0,17 % |
|
ИК уровня 7 |
от 0 до 610 мм; от 0 до 1200 мм |
д: ±0,85 % |
249BP-2390B (от 4 до 20 мА) |
д: ±0,75 % |
MTL4544 |
PAIH02 |
д: ±0,17 % |
|
от 0 до 9000 мм |
Д: ±16,98 мм |
FMR51 (от 4 до 20 мА) |
Д: ±2 мм |
MTL4544 |
PAIH02 |
д: ±0,17 % | |
|
от 0 до 40000 мм1) |
см. примечание 6 | ||||||
|
ИК температуры точки росы |
от -70 до -20 °С |
Д: ±4,41 °С |
ИВА-8 (от 4 до 20 мА) |
Д: ±4 °С |
MTL4544 |
PAIH02 |
д: ±0,17 % |
|
1 |
2 |
3 |
4 |
5 |
6 |
7 |
8 |
|
ИК водородного показа теля |
от 0 до 14 |
А: ±0,07 |
DMT (от 4 до 20 мА) |
А: ±0,05 |
MTL4544 |
PAIH02 |
g: ±0,17 % |
|
ИК силы тока |
от 4 до 20 мА |
д: ±0,075 % |
- |
- |
- |
PAIX01 или PAIH02 |
д: ±0,075 % |
|
g: ±0,17 % |
MTL4544 |
g: ±0,17 % | |||||
|
ИК электрического сопротивления (температуры) |
НСХ Pt 100 (а=0,00385 °C-1) (шкала от -200 до +850 °С1)); НСХ 100 П -1 (а=0,00391 °C-1) (шкала от -200 до +850 °С1)) |
см. таблицу 4 |
- |
- |
MTL4576 |
PAIX01 |
см. таблицу 4 |
|
1' Указан максимальный диапазон измерений (диапазон измерений может быть настроен на меньший диапазон в соответствии с эксплуатационной документацией на первичный ИП ИК).
Примечания
А - абсолютная погрешность, в единицах измерений измеряемой величины; d - относительная погрешность, %; g - приведенная к диапазону измерений погрешность, %; ДИтах - верхний предел диапазона измерений, в единицах измерений измеряемой величины; ДИ - настроенный диапазон измерений, в единицах измерений измеряемой величины; Ризм - измеренное значение давления (перепада давления), в единицах измерения давления (перепада давления); g1 - приведенная к верхнему пределу измерений погрешность, %; t - измеренная температура, °С; Re - число Рейнольдса; Ду - условный диаметр, мм; | |||||||
Продолжение таблицы 5
Vmax - максимальная скорость среды, м/с;
V - скорость среды, м/с;
Qш - верхнее значение шкалы по расходу, в единицах измерения расхода;
QT - измеренное значение расхода, в единицах измерения расхода;
а - температурный коэффициент термопреобразователя сопротивления, °С-1.
-
3 Шкала ИК давления и перепада давления, применяемых для измерения перепада давления на сужающем устройстве и уровня, установлена в ИС в единицах измерения расхода и уровня соответственно.
-
4 Пределы допускаемой основной погрешности ИК температуры приведены для максимального абсолютного значения диапазона измерений температуры. Пределы допускаемой основной погрешности вторичной части ИК при других значениях измеренной температуры рассчитывают согласно таблице 4. Пределы допускаемой основной погрешности ИК при других значениях измеренной температуры рассчитывают согласно примечанию 6 настоящей таблицы.
-
5 Шкала ИК давления и перепада давления может быть установлена в ИС в других единицах измерений в соответствии с ГОСТ 8.417-2002.
-
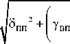
6 Пределы допускаемой основной погрешности ИК рассчитывают по формулам:
- абсолютная дик , в единицах измеряемой величины:
DИК =±1,1^DПП2 + (\ВП • XmaX1-0Xmm ) ',
D ИК = ±1,1 •'JD ПП +DBn ,
пределы допускаемой основной абсолютной погрешности первичного ИП ИК, в единицах измерений измеряемой величины;
дВП - пределы допускаемой основной приведенной погрешности вторичной части ИК, %;
max
min
ВП
значение измеряемого параметра, соответствующее максимальному значению диапазона аналогового сигнала, в единицах измерений измеряемой величины;
значение измеряемого параметра, соответствующее минимальному значению границы диапазона аналогового сигнала, в единицах измерений измеряемой величины;
пределы допускаемой основной абсолютной погрешности вторичной части ИК, в единицах измерений измеряемой величины;
- относительная 5ик , %:

±1,1-


где 8ПП - пределы допускаемой основной относительной погрешности первичного ИП ИК, %;
X.. - измеренное значение, в единицах измерений измеряемой величины;
- приведенная g ИК , %:
gИК = ±1=1д/дПП2 + УвП2 ,
где дПП - пределы допускаемой основной приведенной погрешности первичного ИП ИК, %.
-
7 Для расчета погрешности ИК в условиях эксплуатации:
-
- приводят форму представления основных и дополнительных погрешностей измерительных компонентов ИК к единому виду (приведенная, относительная, абсолютная);
-
- для каждого измерительного компонента ИК рассчитывают пределы допускаемых значений погрешности в условиях эксплуатации путем учета основной и дополнительных погрешностей от влияющих факторов.
Пределы допускаемых значений погрешности измерительного компонента ИК в условиях эксплуатации ЛСИ рассчитывают по формуле
±1,1-

СИ
DO+ED2 ’ i=0
|
где D 0 D i |
факторов. |
Для каждого ИК рассчитывают границы, в которых c вероятностью равной 0,95 должна находиться его погрешность в условиях эксплуатации, D№ по формуле
где Дси]
пределы допускаемых значений погрешности D™ j-го измерительного компонента ИК в условиях эксплуатации.

