№2678 от 08.12.2025
Приказ Федерального агентства по техническому регулированию и метрологии (Росстандарт)
# 736946
Об установлении новой методики поверки для комплексов аппаратно-программных "Ураган-Юг" (№ 70159-18) взамен ранее установленной
Приказы по основной деятельности по агентству Вн. Приказ № 2678 от 08.12.2025
МИНИСТЕРСТВО ПРОМЫШЛЕННОСТИ И ТОРГОВЛИ РОССИЙСКОЙ ФЕДЕРАЦИИ
ФЕДЕРАЛЬНОЕ АГЕНТСТВО ПО ТЕХНИЧЕСКОМУ РЕГУЛИРОВАНИЮ И МЕТРОЛОГИИ (Госстандарт)
ПРИКАЗ
08 декабря 2025 г. 2678
________ № ____
Москва
Об установлении методики поверки средств измерений
В соответствии с частью 2 статьи 12 Федерального закона от 26 июня 2008 г. № 102-ФЗ «Об обеспечении единства измерений», пунктом 1 главы I Положения о Федеральном агентстве по техническому регулированию и метрологии, утвержденного постановлением Правительства Российской Федерации от 17 июня 2004 г. № 294 «О Федеральном агентстве по техническому регулированию и метрологии», пунктом 10 и абзацем третьим пункта 11 Порядка установления, отмены методик поверки и внесения изменений в них, утвержденного приказом Министерства промышленности и торговли Российской Федерации от 28 августа 2020 г. № 2907 «Об утверждении порядка установления и изменения интервала между поверками средств измерений, порядка установления, отмены методик поверки и внесения изменений в них, требований к методикам поверки средств измерений», п р и к а з ы в а ю:
-
1. Установить методику поверки МП 651-25-054 «Государственная система обеспечения единства измерений. Комплексы аппаратно-программные «Ураган-Юг». Методика поверки», согласованную ФГУП «ВНИИФТРИ» 13 ноября 2025 г., для комплексов аппаратно-программных «Ураган-Юг», производства ООО «НПП «МВС», г. Краснодар, зарегистрированных в Федеральном информационном фонде по обеспечению единства измерений (далее - Федеральный фонд) под номером 70159-18.
-
2. Отменить методику поверки РТ-МП-4441-441-2017 «Государственная система обеспечения единства измерений. Комплексы аппаратно-программные «Ураган-Юг». Методика поверки», утвержденную ФБУ «Ростест - Москва» 10 ноября 2017 г., для средств измерений, указанных в пункте 1 настоящего приказа.
-
3. Распространить требования настоящего приказа на средства измерений, указанные в пункте 1 настоящего приказа, находящиеся в эксплуатации.
-
4. Управлению метрологии Федерального агентства по техническому регулированию и метрологии в течение 5 рабочих дней со дня утверждения настоящего приказа направить в федеральное бюджетное учреждение «Научно-исследовательский центр прикладной метрологии - Ростест» (ФБУ «НИЦ ПМ - Ростест») необходимые сведения, предусмотренные настоящим приказом, для внесения в Федеральный фонд.
-
5. ФБУ «НИЦ ПМ - Ростест» внести соответствующие изменения в Федеральный фонд.
-
6. Контроль за исполнением настоящего приказа оставляю за собой.
Заместитель руководителя
Е.Р. Лазаренко
/ \ Подлинник электронного документа, подписанного ЭП, хранится в системе электронного документооборота Федерального агентства по техническому регулированию и метрологии
СВЕДЕНИЯ О СЕРТИФИКАТЕ ЭП
Сертификат: 7B1801563EA497F787EAF40A918A8D6F
Кому выдан: Лазаренко Евгений Русланович
Действителен: с 19.05.2025 до 12.08.2026
\__________________/
Приложение
к приказу Федерального агентства по техническому регулированию
и метрологии
2678
от « 08 » _________ 2025 г. №
Методика поверки МП 651-25-054 «Государственная система обеспечения единства измерений. Комплексы аппаратно-программные «Ураган-Юг». Методика поверки»
СОГЛАСОВАНО
Первый заместитель
генерального директора-заместитель по научной работе ФГУП «ВНИИФТРИ»
А.Н. Щипунов
»
//
2025 г.
МП 651-25-054
1 ОБЩИЕ СВЕДЕНИЯ-
1.1 Настоящая методика распространяется на комплексы аппаратно-программные «Ураган-Юг» (per. № 70159-18) (далее по тексту - комплекс) и устанавливает объем и методы периодической поверки.
-
1.2 При проведении поверки обеспечена прослеживаемость к ГЭТ 1-2022 по государственной поверочной схеме для средств измерений времени и частоты, утвержденной приказом Госстандарта № 2360 от 26.09.2022; ГЭТ 218-2022 по государственной поверочной схеме для координатно-временных средств измерений, утвержденной приказом Госстандарта № 1374 от 07.06.2024 и локальной поверочной схеме для средств измерения скорости движения транспортных средств (ТС).
-
1.3 При определении метрологических характеристик поверямого средства измерений используется метод прямых измерений.
-
1.4 В результате поверки должны быть подтверждены следующие метрологические требования, приведенные в таблице 1.
Таблица 1 - Подтверждаемые метрологические требования
|
Наименование характеристики |
Значение |
|
Диапазон измерений скорости ТС, км/ч |
от 0 до 255 |
|
Пределы допускаемой абсолютной погрешности измерений скорости ТС в диапазоне от 0 до 100 км/ч, включ., км/ч |
±2 |
|
Пределы допускаемой относительной погрешности измерений скорости ТС в диапазоне св. 100 км/ч до 255 км/ч, % |
±2 |
|
Пределы допускаемой абсолютной погрешности (по уровню вероятности 0,95) синхронизации внутренней шкалы времени комплекса с национальной шкалой времени Госсийской Федерации UTC(SU), с |
±2 |
|
Пределы допускаемой абсолютной погрешности (по уровню вероятности 0,95) определения координат при работе по сигналам ГЛОНАСС (код СТ), GTS (код С/А) в частотном диапазоне L1, м |
±7 |
-
2.1 При проведении поверки должны быть выполнены операции, указанные в таблице 2.
Таблица 2 - Операции проведения поверки
|
Наименование операции |
Номер пункта методики |
Проведение операций при периодической поверке |
|
Внешний осмотр средства измерений |
7 |
да |
|
Подготовка к поверке и опробование средства измерений |
8 |
да |
|
Проверка программного обеспечения средства измерений |
9 |
да |
|
10 Определение метрологических характеристик и подтверждение соответствия средства измерений метрологическим требованиям | ||
|
Наименование операции |
Номер пункта методики |
Проведение операций при периодической поверке |
|
Определение погрешности измерений скорости ТС и абсолютной погрешности (по уровню вероятности 0,95) синхронизации внутренней шкалы времени комплекса с национальной шкалой времени Российской Федерации UTC(SU) |
10.1 |
да |
|
Определение абсолютной погрешности (по уровню вероятности 0,95) определения координат при работе по сигналам ГЛОНАСС (код СТ), GPS (код С/А) в частотном диапазоне L1 |
10.2 |
да |
-
2.2 Поверка меньшего числа измеряемых величин не допускается.
-
2.3 Определение характеристики по п. 10.2 производится после ремонта или при
изменении дислокации комплекса.
-
2.4 При получении отрицательных результатов поверки по любому пункту таблицы 2 система считается не прошедшей поверку и направляется в ремонт.
-
3.1 Условия проведения поверки должны соответствовать рабочим условиям эксплуатации поверяемого комплекса:
-
- температура окружающей среды от минус 40 до плюс 50 С°;
-
- атмосферное давление от 80,0 до 106,6 кПа
и используемым средствам поверки. Средства поверки должны быть подготовлены к работе в соответствии с руководствами по их эксплуатации.
4 ТРЕБОВАНИЯ К СПЕЦИАЛИСТАМ, ОСУЩЕСТВЛЯЮЩИМ ПОВЕРКУ
-
4.1 К проведению поверки допускаются лица, аттестованные в качестве поверителей в области радиотехнических средств измерений и изучившие настоящую методику, документацию на комплекс и эксплуатационную документацию на используемые средства поверки.
5 МЕТРОЛОГИЧЕСКИЕ И ТЕХНИЧЕСКИЕ ТРЕБОВАНИЯ К СРЕДСТВАМ ПОВЕРКИ
-
5.1 При проведении поверки должны применяться средства поверки, указанные в таблице 3.
Таблица 3 - Средства поверки
|
Операции поверки, требующие применение средств поверки |
Метрологические и технические требования к средствам поверки, необходимые для проведения поверки |
Перечень рекомендуемых средств поверки |
|
пи. 7-10 Контроль условий поверки |
Средства измерений температуры окружающей среды в диапазоне измерений от -40 до +50 °C, с абсолютной погрешностью не более |
Измерители влажности и температуры ИВТМ-7, per. № 15500-12 |
|
0,2 °C; атмосферного давления в диапазоне измерений от 80 до 106,6 кПа с абсолютной погрешностью не более ±3 гПа | ||
|
п. 10 Определение метрологических характеристик и подтверждение соответствия средства измерений метрологическим требованиям |
Средства измерений, применяемые в качестве эталонов не ниже 5-го разряда (по ГПС для средств измерений времени и частоты, утвержденной приказом Росстандарта от 26.09.2022 № 2360) единиц времени, синхронизированные по сигналам ГНСС ГЛОНАС с абсолютной погрешностью синхронизации шкалы времени выходного сигнала частотой 1 Гц (1 PPS) относительно шкалы времени UTC(SU) не более ±0,6 с а также предназначенные для измерений скорости движения потребителя с пределами допускаемой абсолютной погрешности измерений не более ±0,2 км/ч; Рабочий эталон координат местоположения 2 разряда согласно ГПС для координатно-временных средств измерений, утвержденной приказом Росстандарта № 1374 от 07.06.2024 с пределом допускаемой погрешности воспроизведения координат потребителя ГНСС в системах координат WGS-84, ПЗ-90.11, ГСК-2011 не более 2 м. |
Комплексы измерительные значений текущего времени и скорости «ИВС-21», per. № 94235-24; Комплекс эталонный формирования и измерения радионавигационных параметров ЭФИР, per. № 82567-21 |
|
Вспомогательные технические средства |
Компьютер |
Переносной компьютер типа "Ноутбук" |
-
5.2 Применяемые при поверке средства измерений должны быть исправны, поверены и иметь сведения о результатах поверки средств измерений, включенными в Федеральный информационный фонд по обеспечению единства измерений, оттиск поверительного клейма на средстве измерений или в документации.
6 ТРЕБОВАНИЯ (УСЛОВИЯ) ПО ОБЕСПЕЧЕНИЮ БЕЗОПАСНОСТИ ПРОВЕДЕНИЯ ПОВЕРКИ
-
6.1 При проведении поверки необходимо соблюдать:
-
- требования по технике безопасности, указанные в эксплуатационной документации (далее - ЭД) на используемые средства поверки;
-
- правила по технике безопасности, действующие на месте поверки.
7 ВНЕШНИЙ ОСМОТР СРЕДСТВА ИЗМЕРЕНИЙ
-
7.1 При внешнем осмотре убедиться в том, что:
-
- комплектность комплекса совпадает с Формуляром;
-механические повреждения, влияющие на работоспособность комплексов, отсутствуют;
-
- соединительные провода, кабели и пломбы целы;
-
- пломбировка не нарушена, маркировка четкая.
-
7.2 Результаты поверки по п. 7 считать положительными, если результаты внешнего осмотра удовлетворяют п. 7.1.
8 ПОДГОТОВКА К ПОВЕРКЕ И ОПРОБОВАНИЕ СРЕДСТВА ИЗМЕРЕНИЙ
-
8.1 Произвести проезд зоны контроля комплекса на ТС. Получить фото проезда.
-
8.2 Результаты поверки по п. 8 считать положительными, если фото проезда содержит следующую информацию: заводской номер комплекса, геопозицию комплекса, время фотофиксации и скорость ТС.
9 ПРОВЕРКА ПРОГРАММНОГО ОБЕСПЕЧЕНИЯ СРЕДСТВА ИЗМЕРЕНИЙ
-
9.1 Проверить номер версии (идентификационный номер) ПО в соответствии с руководством по эксплуатации.
-
9.3 Результаты поверки по п. 9 считать положительными, если идентификационные данные ПО соответствуют идентификационным данным, приведенным в таблице 4.
Таблица 4.
|
Идентификационное данные (признаки) |
Значение |
|
Идентификационное наименование ПО |
«Программное обеспечение автоматической фиксации нарушений правил дорожного движения и проходящего транспорта «Скорпион» |
|
Номер версии ПО |
RecognitionNumbersSDK3.dll не ниже 16.19.39 |
|
Цифровой идентификатор ПО |
В0971АВ2 |
|
Алгоритм вычисления цифрового идентификатора ПО |
CRC32 |
-
10 ОПРЕДЕЛЕНИЕ МЕТРОЛОГИЧЕСКИХ ХАРАКТЕРИСТИК СРЕДСТВА ИЗМЕРЕНИЙ И ПОДТВЕРЖДЕНИЕ СООТВЕТСТВИЯ СРЕДСТВА ИЗМЕРЕНИЙ МЕТРОЛОГИЧЕСКИМ ТРЕБОВАНИЯМ
-
10.1 Определение погрешности измерений скорости ТС и абсолютной погрешности (по уровню вероятности 0,95) синхронизации внутренней шкалы времени комплекса с национальной шкалой времени Российской Федерации UTC(SU)
-
10.1.1 Подготовить комплекс измерительный значений текущего времени и скорости «ИВС-21» (далее - «ИВС-21») к выполнению измерений в соответствии с паспортом.
-
-
Разместить и закрепить «ИВС-21» на ТС так, чтобы он не загораживал обзор водителю. Пример размещения показан на рисунке 1.
08.16.2025ll5:48i5Q| ' I-
54:181^21'C lllJ-37,604945 В.Д. : Г: ' ' ■ ’. '
р Тула? пересечение пр-та Ленину - ул. Первомайская Направление движения ТС;! от ул. Жаворонкова Ограничение скорости: 60 км/ч, Скорость: 53 км/ч
Рисунок 1 - Пример размещения «ИВС-21» на транспортном средстве
-
10.1.2 Проехать на ТС зону контроля комплекса с минимально возможной скоростью движения на данном участке дороги. При этом движение ТС в зоне контроля комплекса должно быть прямолинейным и равномерным.
-
10.1.3 После проезда выполнить следующие операции.
-
10.1.3.1 Получить от оператора фотографию ТС, зафиксированного комплексом, с указанием измеренной скорости движения ТС и временем фотофиксации ТС.
-
10.1.3.2 Рассчитать абсолютную погрешность измерения скорости движения ТС по формуле:
-
А^=^-ГЭ;
где значение скорости, измеренное комплексом для z-ro проезда, выраженное в км/ч;
Vsi — значение скорости, отображенное на электронном дисплее «ИВС-21» для z-ro проезда, выраженное в км/ч.
-
10.1.3.3 Сравнить значение времени Тк, наложенного комплексом на кадр и значение национальной шкалой времени UTC(SU) Тэ (времени, отображенного на «ИВС-21»), Определить значение абсолютной погрешности синхронизации внутренней шкалы времени комплекса с национальной шкалой времени Российской Федерации UTC(SU) как разницу между этими значениями по формуле (с учетом времени часовой зоны):
АТ; = ТК;~ТЭ;
-
10.1.4 Повторить операции по пп. 10.1.2 и 10.1.3 не менее 4 раз с разными скоростями. Одна из скоростей движения должна быть максимально возможной на данном участке дороги.
Рекомендуется выбирать максимально возможные скорости движения автомобиля основываясь, в первую очередь, на обеспечении безопасности участников движения в зоне контроля во время поверки.
-
10.1.5 Определить систематическую составляющую погрешности синхронизации внутренней шкалы времени комплекса с национальной шкалой времени Российской Федерации UTC(SU) по формуле:
dt=i-2"=1ATi,
где п - количество проездов.
-
10.1.6 Определить среднеквадратическое отклонение случайной составляющей погрешности синхронизации внутренней шкалы времени комплекса с национальной шкалой времени Российской Федерации UTC(SU) по формуле:
- dt) O’t — i
J n — 1
-
10.1.7 Определить абсолютную погрешность (по уровню вероятности 0,95) синхронизации внутренней шкалы времени комплекса с национальной шкалой времени Российской Федерации UTC(SU) по формуле:
Щ = ±(|dt | + 2 ■ crt)
-
10.1.8 Результаты поверки по п. 10.1 считать положительными, если:
-
- для каждого результата измерений скорости ТС
а) абсолютная погрешность измерений в диапазоне скоростей от 0 до 100 км/ч включительно не превышает ±2 км/ч;
б) погрешность измерений в диапазоне скоростей свыше 100 км/ч до 255 км/ч не превышает ±2 %;
-
- абсолютная погрешность (по уровню вероятности 0,95) синхронизации внутренней шкалы времени комплекса с национальной шкалой времени Российской Федерации UTC(SU) не превышает ±2 с.
-
10.2 Определение абсолютной погрешности (по уровню вероятности 0,95) определения координат при работе по сигналам ГЛОНАСС (код СТ), GPS (код С/А) в частотном диапазоне L1
-
10.2.1 Собрать схему измерений в соответствии с рисунком 2, разместив имитатор сигналов глобальных навигационных спутниковых систем (далее — имитатор сигналов) в непосредственной близости от поверяемого комплекса (подключение электропитания не показано). Подключить выход навигационного сигнала имитатора к антенному входу комплекса.
-
Комплекс
Имитатор сигналов
Несущая придорожная
конструкция
Рисунок 2 - Схема проведения измерений
-
10.2.2 Вывести комплекс и имитатор сигналов на номинальный режим работы в соответствии с их руководствами по эксплуатации.
-
10.2.3 Запустить на имитаторе сигналов выполнение сценария с параметрами, приведенными в таблице 5.
Таблица 5 - Параметры сценария имитации
|
Наименование параметра |
Значение параметра |
|
Формируемые спутниковые навигационные сигналы |
ГЛОНАСС L1OF, GPS L1 С/А |
|
Количество НКА GPS/ГЛОНАСС |
текущая группировка |
|
Продолжительность воспроизведения сценария, ч |
1 |
|
Параметры среды распространения навигационных сигналов |
тропосфера присутствует, модель STANAG (или аналог) ионосфера присутствует, модель весна (или аналог) |
|
Формируемые сигналы функциональных дополнений |
нет |
|
Модель движения объекта |
неподвижная точка с параметрами:
|
|
Дискретность записи протокола сценария, с |
1 |
10.2.4 Выполнить с помощью навигационного приемника из состава комплекса запись сообщений NMEA с частотой 1 Гц в ходе исполнения сценария имитации.
-
10.2.5 После окончания выполнения сценария подготовить файл измерений комплекса и протокол сценария с имитатора сигналов для совместной обработки при геометрическом факторе снижения точности местоположения PDOP < 3 (сообщения NMEA комплекса $**GSA).
-
10.2.6 Выполнить преобразование координат местоположения из строк $**RMC и $**GGA в файле измерений комплекса в формат, описанный в таблице 6.
Таблица 6- Формат файла
|
Тип данных |
Формат |
|
Время |
время от начала суток в шкале времени UTC, с |
|
Широта |
градусы, ХХ.ХХХХХХ0 |
|
Долгота |
градусы, ХХ.ХХХХХХ0 |
-
10.2.7 Рассчитать абсолютную погрешность определения широты по формуле:
г I ref 1
где В, — широта, измеренная комплексом, °;
Bret— широта из протокола сценария имитатора сигналов, °.
-
10.2.8 Рассчитать абсолютную погрешность определения долготы по формуле:
где Lj — долгота, измеренная комплексом, °;
Tref— долгота из протокола сценария имитатора сигналов, °.
-
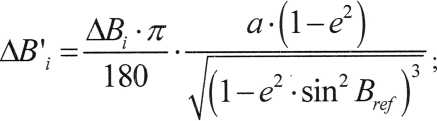
10.2.9 Перевести полученные значения абсолютной погрешности определения широты и долготы в метры по формулам:

= АГ,-я- a-cos
180
где А5(, Д£; — абсолютная погрешность определения широты и долготы на i эпоху комплекса, °;
я = 6378137м — большая полуось общеземного эллипсоида;
е = 0,081819191— эксцентриситет общеземного эллипсоида.
-
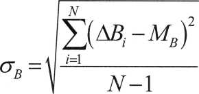
10.2.10 Рассчитать математическое ожидание абсолютной погрешности определения широты и долготы по формулам:

где N — количество измерений.
-
10.2.11 Рассчитать CKO абсолютной погрешности определения широты и долготы по формулам:


-
10.2.12 Рассчитать погрешность (по уровню вероятности 0,95) определения координат при работе по сигналам ГЛОНАСС (код СТ), GPS (код С/А) в частотном диапазоне L1 по формуле:

-
10.2.13 Результаты поверки по п. 10.2 считать положительными, если значение абсолютной погрешности (по уровню вероятности 0,95) определения координат при работе по сигналам ГЛОНАСС (код СТ), GPS (код С/А) в частотном диапазоне L1 находится в пределах ±7 м.
11 ОФОРМЛЕНИЕ РЕЗУЛЬТАТОВ ПОВЕРКИ
-
11.1 Результаты поверки комплекса подтверждаются сведениями о результатах поверки средств измерений, включенными в Федеральный информационный фонд по обеспечению единства измерений. По заявлению владельца комплекса или лица, представившего его на поверку, на комплекс наносится знак поверки, и (или) выдается свидетельство о поверке комплекса, и (или) в паспорт вносится запись о проведенной поверке, заверяемая подписью поверителя и знаком поверки, с указанием даты поверки, или выдается извещение о непригодности к применению средства измерений.
-
11.2 Результаты поверки оформляются по установленной форме.
Начальник НИО-6

В.И. Добровольский
10

