Номер по Госреестру СИ: 93404-24
93404-24 Система измерительная АСУТП установки замедленного коксования (секция 5100) тит. 091/10 АО "ТАНЕКО"
(Обозначение отсутствует)
Назначение средства измерений:
Система измерительная АСУТП установки замедленного коксования (секция 5100) тит. 091/10 АО «ТАНЕКО» (далее - ИС) предназначена для измерений параметров технологического процесса в реальном масштабе времени (давления, перепада давления, температуры, объемного расхода, массового расхода, уровня, нижнего концентрационного предела распространения пламени (далее - НКПР), концентрации и силы постоянного тока), формирования сигналов управления и регулирования.
Программное обеспечение
Программное обеспечение (далее - ПО) ИС обеспечивает реализацию функций ИС.
Защита ПО ИС от непреднамеренных и преднамеренных изменений и обеспечение его соответствия утвержденному типу осуществляется путем идентификации, защиты от несанкционированного доступа.
Идентификационные данные ПО ИС приведены в таблице 2.
Таблица 2 - Идентификационные данные ПО ИС
|
Идентификационные данные (признаки) |
Значение | |
|
CENTUM VP |
ProSafe-RS | |
|
Идентификационное наименование ПО |
CENTUM VP |
ProSafe-RS Workbench |
|
Номер версии (идентификационный номер) ПО |
не ниже R5.04.20 |
не ниже R 3.02.20 |
|
Цифровой идентификатор ПО |
- |
- |
ПО ИС защищено от несанкционированного доступа, изменения алгоритмов и установленных параметров путем введения логина и пароля, ведения доступного только для чтения журнала событий.
Уровень защиты ПО ИС «средний» в соответствии с Р 50.2.077-2014.
Знак утверждения типа
Знак утверждения типананосится на титульный лист паспорта типографским способом.
Сведения о методиках измерений
Сведения о методиках (методах) измерений приведены в эксплуатационном документе.Нормативные и технические документы
Нормативные документы, устанавливающие требования к средству измеренийПриказ Росстандарта от 1 октября 2018 г. № 2091 «Об утверждении государственной
поверочной схемы для средств измерений силы постоянного в диапазоне от 1 • 10-16 до 100 А».
электрического
тока
Акционерное общество «ТАНЕКО» (АО «ТАНЕКО»)
ИНН 1651044095
Нижнекамский
р-н,
Юридический адрес: 423570, Республика Татарстан, г. Нижнекамск, тер. Промзона
Изготовитель
Акционерное общество «ТАНЕКО» (АО «ТАНЕКО»)
ИНН 1651044095
Адрес: 423570, Республика Татарстан, Нижнекамский р-н, г. Нижнекамск, тер. Промзона
Испытательный центр
Общество с ограниченной ответственностью Центр Метрологии «СТП» (ООО ЦМ «СТП»)
Адрес: 420107, Республика Татарстан, г. Казань, ул. Петербургская, д. 50, к. 5, оф. 7 Телефон: (843) 214-20-98
Web-сайт: http://www.ooostp.ru
E-mail: office@ooostp.ru
Принцип действия ИС основан на непрерывном измерении, преобразовании и обработке при помощи комплекса измерительно-вычислительного CENTUM модели VP (регистрационный номер в Федеральном информационном фонде по обеспечению единства измерений (далее - регистрационный номер) 21532-14) (далее - CENTUM VP) и комплекса измерительно-вычислительного и управляющего противоаварийной защиты и технологической безопасности ProSafe-RS (регистрационный номер 65275-16) (далее - ProSafe-RS) входных сигналов, поступающих по измерительным каналам (далее -ИК) от первичных и промежуточных измерительных преобразователей (далее - ИП).
ИС осуществляет измерение параметров технологического процесса следующим образом:
-
- первичные ИП преобразуют текущие значения параметров технологического процесса в аналоговые унифицированные электрические сигналы силы постоянного тока от 4 до 20 мА;
-
- аналоговые унифицированные электрические сигналы силы постоянного тока от 4 до 20 мА от первичных ИП поступают на входы преобразователей измерительных серии Н (регистрационный номер 40667-15) модели HiC2025 (далее - HiC2025) и далее на модули ввода аналоговых сигналов AAI143 CENTUM VP (далее - AAI143) или SAI143 ProSafe-RS (далее - SAI143) (часть сигналов поступает на модули ввода аналоговых сигналов без барьеров искрозащиты);
-
- сигналы управления и регулирования (аналоговые сигналы силы постоянного тока от 4 до 20 мА) генерируются модулями вывода AAI543 CENTUM VP (далее - AAI543) и SAI533 ProSafe-RS (далее - SAI533) через преобразователи измерительные серии Н (регистрационный номер 40667-15) модели HiC2031 (далее - HiC2031) (часть сигналов поступает на исполнительные механизмы без барьеров искрозащиты).
Цифровые коды, преобразованные посредством модулей ввода аналоговых сигналов в значения физических параметров технологического процесса, отображаются на мнемосхемах мониторов операторских станций управления в виде числовых значений, гистограмм, трендов, текстов, рисунков и цветовой окраски элементов мнемосхем, а также интегрируется в базу данных ИС.
По функциональным признакам ИС делится на две независимые подсистемы: распределенная система управления технологическим процессом и система противоаварийной защиты. ИС включает в свой состав также резервные ИК.
Состав средств измерений, применяемых в качестве первичных ИП ИК, указан в таблице 1.
Таблица 1 - Состав
ИП ИК
в качестве
|
Наименование ИК |
Наименование первичного ИП ИК |
Регистрационный номер |
|
ИК давления |
Преобразователи давления измерительные EJX модели EJX 530 (далее - EJX 530) |
28456-09 |
|
Преобразователи (датчики) давления измерительные EJ* модификации EJX (серия А) модели 530 (далее - ПИ EJX 530A) |
59868-15 | |
|
Датчики давления PAS-R (далее - PAS-R) |
60364-15 | |
|
Преобразователи давления измерительные Сапфир-22МП-ВН исполнения Сапфир-22МП-ВН-ДИ-2151 (далее - Сапфир-22МП-ВН) |
33503-13 | |
|
Преобразователи давления измерительные Сапфир-22МП-ВН исполнения Сапфир-22МП-ВН-ДИ-Ех-2151 (далее - Сапфир-22МП-ВН-Ех) |
33503-13 | |
|
Преобразователи давления измерительные Сапфир-22МП-ВН исполнения Сапфир-22МП-ВН-ДИ-Ех-2160 (далее - ПДИ Сапфир-22МП-ВН) |
33503-16 | |
|
ИК перепада давления |
Преобразователи давления измерительные Сапфир-22МП-ВН исполнения Сапфир-22МП-ВН-ДД-Ех-2440 (далее - Сапфир-22МП-ВН-ДД) |
33503-13 |
|
Преобразователи (датчики) давления измерительные EJ* модификации EJX (серия А) модели 110 (далее - ПИ EJX110A) |
59868-15 | |
|
Преобразователи давления измерительные EJX модели EJX 110A (далее - EJX110A) |
28456-09 | |
|
Преобразователи (датчики) давления измерительные EJ* модификации EJX (серия А) модели 120 (далее - ПИ EJX120A) |
59868-15 | |
|
Преобразователи давления измерительные EJA модели EJA 110 (далее - EJA 110) |
14495-09 | |
|
Преобразователи (датчики) давления измерительные EJ* модификации EJX (серия А) модели 910 (далее - ПИ EJX910A) |
59868-15 | |
|
ИК температуры |
Термопреобразователи сопротивления Rosemount 0065 (далее - Rosemount 0065) |
53211-13 |
|
Преобразователи измерительные Rosemount 248 (далее - Rosemount 248) |
53265-13 |
|
Наименование ИК |
Наименование первичного ИП ИК |
Регистрационный номер |
|
Преобразователи термоэлектрические серии ТС модели ТС10 в комплекте с преобразователем измерительным серии iTEMP TMT модели TMT182 (далее - TC10/TMT182) |
49520-12 | |
|
Преобразователи термоэлектрические серии ТС модели ТС88 в комплекте с преобразователем |
49520-12; | |
|
измерительным серии iTEMP TMT модели TMT182 (далее - TC88/TMT182) |
68003-17 | |
|
Преобразователи термоэлектрические серии ТС модели ТС88 в комплекте с преобразователем |
49520-12; | |
|
измерительным серии iTEMP TMT модели TMT82 (далее - TC88/TMT82) |
68003-17 | |
|
Термопреобразователи сопротивления платиновые серии TR модели TR10 в комплекте с преобразователем измерительным серии iTEMP TMT модели TMT182 (далее - TR10/TMT182) |
49519-12 | |
|
Термопреобразователи сопротивления платиновые серии TR модели TR10 в комплекте с преобразователем измерительным серии iTEMP TMT модели TMT82 (далее - TR10/TMT82) |
49519-12 | |
|
Термопреобразователи сопротивления серии TR модификации TR12 (далее - TR12) |
47279-11 | |
|
ИК температуры |
Преобразователи измерительные серии YTA модели YTA320 (далее - YTA320) |
25470-03 |
|
Термопреобразователи сопротивления платиновые серии TR модели TR61 в комплекте с преобразователем измерительным серии iTEMP TMT модели TMT182 (далее - TR61/TMT182) |
49519-12 | |
|
Термопреобразователи сопротивления платиновые серии TR модели TR62 (далее - TR62) |
49519-12 | |
|
Преобразователи измерительные серии iTEMP TMT модели ТМТ 182 (далее - ТМТ182) |
57947-19 | |
|
Термопреобразователи сопротивления платиновые серии TR модели TR65 в комплекте с преобразователем измерительным серии iTEMP TMT модели TMT82 (далее - TR65/TMT82) |
49519-12 | |
|
Термопреобразователи сопротивления платиновые серии TR модели TR88 в комплекте с преобразователем измерительным серии iTEMP TMT модели TMT182 (далее - TR88/TMT182) |
49519-12 | |
|
Термопреобразователи сопротивления платиновые серии TR модели TR88 в комплекте с |
49519-12; | |
|
преобразователем измерительным серии iTEMP TMT модели TMT82 (далее - TR88/TMT82) |
68002-17 | |
|
Термопреобразователи сопротивления платиновые серии TST модели TST310 (далее - TST310) |
49519-12 | |
|
ИК температуры |
Преобразователи измерительные серии iTEMP TMT модели ТМТ 82 (далее - ТМТ82) |
57947-19 |
|
Наименование ИК |
Наименование первичного ИП ИК |
Регистрационный номер |
|
Преобразователь измерительный Rosemount 248 (далее - Rosemount 248) |
48988-12 | |
|
Термопреобразователи сопротивления платиновые серии WTH модели 280-400 (далее - WTH 280-400) |
44778-10 | |
|
Преобразователь измерительный Rosemount 248 (далее - Rosemount 248) |
53265-13 | |
|
Датчики температуры КТХА, КТХА Ex (далее -КТХА) |
75207-19 | |
|
Датчики температуры КТХА Ex (далее - КТХА Ex) |
57178-14 | |
|
Термометры сопротивления платиновые ТСП 002 (далее - ТСП 002) |
41891-09 | |
|
Преобразователи измерительные модульные ИПМ 0399 модификации ИПМ 0399/М0-Н (далее - ИПМ 0399/М0-Н) |
22676-12 | |
|
Термопреобразователи сопротивления с пленочными чувствительными элементами ТСП Метран-200 модели ТСП Метран-246 (далее - ТСП Метран-246) |
26224-07; 26224-12 | |
|
Преобразователи температуры Метран-280 модели ТСП Метран-286 (далее - Метран-286) |
23410-13 | |
|
Термометры сопротивления платиновые ТСП (модификации: ТСП-04) (далее - ТСП-04) |
40418-09 | |
|
Датчики температуры ТСПТ, ТСПТ Ex (далее -ТСПТ) |
75208-19 | |
|
Термопреобразователи универсальные ТПУ 0304 (далее - ТПУ 0304) |
50519-12; 50519-17 | |
|
ИК объемного расхода |
Расходомеры 3051SFC (далее - 3051SFC) |
50699-12 |
|
Счетчики-расходомеры электромагнитные ADMAG (модификации AXF) (далее - ADMAG AXF) |
59435-14 | |
|
Расходомеры ультразвуковые FLUXUS модели ADM 8027 (далее - ADM 8027) |
47097-11 | |
|
Расходомеры ультразвуковые FLUXUS серии 8ххх модели F808 (далее - F808) |
56831-14 | |
|
Расходомеры-счетчики массовые OPTIMASS x400 модификации OPTIMASS 6400F (далее -OPTIMASS 6400F) |
53804-13 | |
|
Расходомеры-счетчики ультразвуковые OPTISONIC 3400 (далее - OPTISONIC 3400) |
57762-14 | |
|
Расходомеры ультразвуковые OPTISONIC 6300 (далее - OPTISONIC 6300) |
56454-14 | |
|
Расходомеры-счетчики газа и пара модели XGF868i (далее - XGF868i) |
59891-15 | |
|
ИК объемного расхода |
Расходомеры-счетчики вихревые объемные YEWFLO DY (далее - YEWFLO DY) |
17675-09 |
|
3051SFC |
50699-12 |
|
Наименование ИК |
Наименование первичного ИП ИК |
Регистрационный номер |
|
ИК массового расхода |
Расходомеры массовые Promass модели 83F (далее - Promass 83F) |
15201-11 |
|
Счетчики-расходомеры массовые кориолисовые ROTAMASS (модификации RCCT) модели RCCT38 (далее - RCCT38) |
27054-09 | |
|
Расходомеры массовые TMU (далее - TMU) |
43908-10 | |
|
YEWFLO DY |
17675-09 | |
|
ИК уровня |
Уровнемеры LLT-MS (далее - LLT-MS) |
56340-14 |
|
Уровнемеры контактные микроволновые VEGAFLEX 6* модификации VEGAFLEX 61 (далее - VEGAFLEX 61) |
27284-09 | |
|
Уровнемеры микроволновые контактные VEGAFLEX 8* модификации VEGAFLEX 81 (далее - VEGAFLEX 81) |
53857-13 | |
|
Уровнемеры микроволновые контактные VEGAFLEX 8* модификации VEGAFLEX 86 (далее - VEGAFLEX 86) |
53857-13 | |
|
Уровнемеры микроволновые бесконтактные VEGAPULS 6* модификации VEGAPULS 63 (далее - VEGAPULS 63) |
27283-09 | |
|
Уровнемеры микроволновые бесконтактные VEGAPULS 6* модификации VEGAPULS 66 (далее - VEGAPULS 66) |
27283-12 | |
|
ИК НКПР |
Датчики - газоанализаторы стационарные ДГС ЭРИС-210 модели ДГС ЭРИС-210 (далее - ДГС ЭРИС-210) |
61055-15 |
|
ИК концентрации |
ДГС ЭРИС-210 |
61055-15 |
|
Газоанализаторы THERMOX серии WDG-W (далее - THERMOX WDG-W) |
38307-08 | |
|
Анализаторы газа модели 4080 (далее - АГ 4080) |
46315-10 |
ИС выполняет следующие функции:
-
- автоматизированное измерение, регистрацию, обработку, контроль, хранение и индикацию параметров технологического процесса;
-
- предупредительную и аварийную сигнализацию при выходе параметров технологического процесса за установленные границы и при обнаружении неисправности в работе оборудования;
-
- управление технологическим процессом в реальном масштабе времени;
-
- противоаварийную защиту оборудования установки;
-
- отображение технологической и системной информации на операторской станции управления;
-
- накопление, регистрацию и хранение поступающей информации;
-
- самодиагностику;
-
- автоматическое составление отчетов и рабочих (режимных) листов;
-
- защиту системной информации от несанкционированного доступа к программным средствам и изменения установленных параметров.
Заводской номер ИС (№ 091/10) в виде цифрового обозначения наносится на титульный лист паспорта и маркировочные таблички, расположенные на дверях шкафов ИС типографским способом.
Конструкция ИС и условия эксплуатации ИС не предусматривают нанесение знака поверки.
Пломбирование ИС не предусмотрено. Пломбирование средств измерений, входящих в состав ИС, выполняется в соответствии с их описаниями типа.
Метрологические характеристики ИК ИС приведены в таблице 3.
Таблица 3 - Метрологические характеристики ИК ИС
|
Метрологические характеристики ИК |
Метрологические характеристики измерительных компонентов ИК | ||||||
|
Первичный ИП |
Промежуточный ИП, модули ввода/вывода сигналов и обработки данных | ||||||
|
Наименование ИК |
Диапазоны измерений |
Пределы допускаемой основной погрешности |
Тип (выходной сигнал) |
Пределы допускаемой основной погрешности |
Тип барьера искро-защиты |
Тип модуля ввода/ вывода |
Пределы допускаемой основной погрешности1) |
|
1 |
2 |
3 |
4 |
5 |
6 |
7 |
8 |
|
ИК давления |
от 0 до 1 кПа; от 0 до 2 кПа; от 0 до 250 кПа; от 0 до 1000 кПа; от 0 до 0,4 МПа; от 0 до 1,6 МПа; от 0 до 2,5 МПа |
у: ±0,33 % |
EJX 530 (от 4 до 20 мА) |
у: ±0,25 % |
HiC2025 |
AAI143 или SAI143 |
у: ±0,15 % |
|
от 0 до 0,6 кПа; от 0 до 1 кПа; от 0 до 1,6 кПа; от 0 до 160 кПа; от 0 до 250 кПа; от 0 до 300 кПа; от 0 до 400 кПа; от 0 до 500 кПа; от 0 до 600 кПа; от 0 до 1 МПа; от 0 до 1,6 МПа; от 0 до 2,5 МПа; от 0 до 4 МПа; от 0 до 6 МПа |
у: ±0,33 % |
ПИ EJX 530А (от 4 до 20 мА) |
у: ±0,25 % |
HiC2025 |
AAI143 или SAI143 |
у: ±0,15 % | |
|
1 |
2 |
3 |
4 |
5 |
6 |
7 |
8 |
|
ИК давления |
от -100 до 1500 кПа; от 0 до 1500 кПа |
у: ±0,2 % |
PAS-R (от 4 до 20 мА) |
у: ±0,1 % |
HiC2025 |
AAI143 |
у: ±0,15 % |
|
от 0 до 1 МПа |
у: ±0,2 % |
Сапфир-22МП- ВН (от 4 до 20 мА) |
у: ±0,1 % |
HiC2025 |
AAI143 |
у: ±0,15 | |
|
от 0 до 1 МПа |
у: ±0,2 % |
Сапфир-22МП-ВН-Ex (от 4 до 20 мА) |
у: ±0,1 % |
HiC2025 |
AAI143 |
у: ±0,15 | |
|
от 0 до 1 МПа; от 0 до 1,6 МПа; от 0 до 6 МПа |
у: ±0,2 % |
ПДИ Сапфир- 22МП-ВН (от 4 до 20 мА) |
у: ±0,1 % |
HiC2025 |
AAI143 |
у:. ±0,15 | |
|
ИК перепада давления |
от 0 до 190 кПа |
у: ±0,2 % |
Сапфир-22МП-ВН-ДД (от 4 до 20 мА) |
у: ±0,1 % |
HiC2025 |
AAI143 |
у:. ±0,15 % |
|
от 0 до 1,6 кПа; от 0 до 2,5 кПа; от 0 до 6 кПа; от 0 до 6,3 кПа; от 0 до 7,15 кПа; от 0 до 16 кПа; от 0 до 19,11 кПа; от 0 до 25 кПа; от 0 до 31 кПа; от 0 до 36,48 кПа; от 0 до 40 кПа; от 0 до 50 кПа; от 0 до 63 кПа; от 0 до 65,158 кПа; от 0 до 100 кПа |
у: ±0,33 % |
ПИ EJX110A (от 4 до 20 мА) |
у: ±0,25 % |
HiC2025 |
AAI143 или SAI143 |
у: ±0,15 % | |
|
от 0 до 40 кПа |
у: ±0,33 % |
EJX110A (от 4 до 20 мА) |
у: ±0,25 % |
HiC2025 |
AAI143 или SAn43 |
у: ±0,15 |
ИК перепада давления
от -630 до 10 Па; от -600 до 100 Па; от -600 до 200 Па;
|
от -430 |
до |
10 |
Па; |
|
от -400 |
до |
10 |
Па; |
|
от -160 |
до |
10 |
Па; |
|
от -100 |
до |
10 |
Па; |
|
от -100 |
до |
16 |
Па; |
|
от -60 |
до |
30 |
Па |
от 0 до 100 кПа; от 1 до 100 кПа
от 0 до 5 кПа
от -50 до +150 °С
от 0 до +150 °С
у: ±0,33 %
у: ±0,33 %
у: ±0,18 %
Л: ±0,64 °С
Л: ±0,57 °С
ПИ EJX120A (от 4 до 20 мА)
EJA 110
(от 4 до 20 мА)
ПИ EJX910A
(от 4 до 20 мА)
Rosemount 0065 (НСХ Pt100) Rosemount 248 (от 4 до 20 мА)
у: ±0,25 %
у: ±0,25 %
у: ±0,04 %
HiC2025
HiC2025
HiC2025
AAI143 или SAI143
AAI143
AAI143
у: ±0,15 %
у: ±0,15 %
у: ±0,15 %
ИК температуры
от 0 до +800 °С
Л: ±4,17 °С
от 0 до +1000 °С
(диапазон показаний от 0 до +1100 °С)
ТС10/ТМТ182
(НСХ тип K/ от 4 до 20 мА)
Л: ±5,19 °С
Rosemount 0065: Л: ±(O,15+0,0O2^|t|) °С;
Rosemount 248:
Л: ±0,2 °С или y: ±0,1 % (берут большее ______значение)______
ТС10: Л: ±1,5 °С (от -40 до +375 °С);
Л: ±(0,004^|t|) °С (св.+375 до +1000 °С);
TMT182: Л: ±0,5 °С или y: ±0,08 % (берут большее значение); Л: ±1,0 °С (КХС)
HiC2025
у: ±0,1 %
SAI143
у: ±0,15 %
HiC2025
AAI143 или SAI143
у: ±0,15 %
ИК температуры
|
2 |
3 |
|
от -40 до +600 °С |
Л: ±3,3 °С |
|
от -40 до +700 °С |
Л: ±3,75 °С |
|
от 0 до +450 °С |
Л: ±2,69 °С |
|
от 0 до +500 °С |
Л: ±2,88 °С |
|
от 0 до +600 °С |
Л: ±3,27 °С |
|
от 0 до +800 °С |
Л: ±4,17 °С |
|
от 0 до +450 °С |
Л: ±2,39 °С |
|
от 0 до +500 °С |
Л: ±2,61 °С |
|
от 0 до +600 °С |
Л: ±3,05 °С |
ТС88/ТМТ182
(НСХ тип К/ от 4 до 20 мА)
ТС88/ТМТ82
(НСХ тип К/ от 4 до 20 мА)
ТС88: Л: ±1,5 °С (от -40 до
+375 °С);
Л: ±(0,004-|t|) °С (св.+375 до +1000 °С);
TMT182:
Л: ±0,5 °С или Y: ±0,08 % (берут большее значение) Л: ±1,0 °С (КХС)
ТС88:
Л: ±1,5 °С (от -40 до +375 °С);
Л: ±(0,004^|t|) °С (св.+375 до +1000 °С);
TMT82: Л: ±0,32 °С (АЦП) и Y: ±0,03 % (ЦАП);
Л: ±(0,3+0,005-|t’|) °С
(КХС)
HiC2025
HiC2025
AAI143 или SAI143
у: ±0,15 %
AAI143
у: ±0,15 %
|
1 |
2 |
3 |
4 |
5 |
6 |
7 |
8 |
|
ИК температуры |
от -50 до +200 °С |
Л: ±0,77 °С |
TR10/TMT182 (НСХ Pt 100/ от 4 до 20 мА) |
TR10: Л: ±(0,15+0,002-|t|) °С; TMT182: Л: ±0,2 °С или Y: ±0,08 % (берут большее значение) |
HiC2025 |
AAI143 |
у: ±0,15 % |
|
от -40 до +200 °С |
Л: ±0,76 °С | ||||||
|
от 0 до +150 °С |
Л: ±0,6 °С | ||||||
|
от 0 до +400 °С |
Л: ±1,29 °С | ||||||
|
от -50 до +100 °С |
Л: ±0,44 °С |
TR10/TMT82 (от 4 до 20 мА) |
TR10: Л: ±(0,1+0,0017^|t|) °С (от -50 до +250 °С); TMT82: Л: ±0,14 °С (АЦП) и Y: ±0,03 % (ЦАП) |
HiC2025 |
AAI143 |
у: ±0,15 % | |
|
от -50 до +150 °С |
Л: ±0,56 °С | ||||||
|
от 0 до +100 °С |
Л: ±0,39 °С | ||||||
|
от -50 до +100 °С |
Л: ±0,5 °С |
TR12 (НСХ Pt100) YTA 320 (от 4 до 20 мА) |
TR12: Л: ±(0,15+0,002^|t|) °С; YTA 320: Л: ±0,14 °С (АЦП) и y: ±0,02 % (ЦАП) |
HiC2025 |
SAI143 |
у: ±0,15 % | |
|
от -50 до +150 °С |
Л: ±0,64 °С |
TR61/TMT182 (НСХ Pt100/ от 4 до 20 мА) |
TR61: Л: ±(0,15+0,002-|t|) °С; TMT182: Л: ±0,2 °С или Y: ±0,08 % (берут большее значение) |
HiC2025 |
AAI143 или SAI143 |
у: ±0,15 % | |
|
от 0 до +100 °С |
Л: ±0,48 °С |
от -50 до +150 °С
Л: ±0,64 °С
TR62
(НСХ Pt100)
TMT182
(от 4 до 20 мА)
___________5___________ TR62:
Л: ±(0,15+0,002-|t|) °С; TMT182:
Л: ±0,2 °С или Y: ±0,08 % (берут большее значение)
HiC2025
SAI143
у: ±0,15 %
от -50 до +150 °С
Л: ±0,64 °С
TR65/TMT82
(НСХ Pt100/ от 4 до 20 мА)
от 0 до +150 °С
Л: ±0,59 °С
TR65:
Л: ±(0,15+0,002^|t|) °С;
TMT82:
Л: ±0,14 °С (АЦП) и Y: ±0,03 % (ЦАП)
HiC2025
SAI143
у: ±0,15 %
ИК температуры
от -50 до +100 °С от -50 до +150 °С от -50 до +400 °С от 0 до +50 °С от 0 до +50 °С от 0 до +100 °С от 0 до +150 °С от 0 до +180 °С от 0 до +200 °С от 0 до +250 °С от 0 до +300 °С от 0 до +350 °С от 0 до +400 °С
Л
Л
Л
Л
Л
Л
±0,51 °С
±0,64 °С
±1,35 °С
±0,32 °С
±0,37 °С
±0,48 °С
Л: ±0,6 °С
Л: ±0,68 °С
Л: ±0,73 °С
Л: ±0,86 °С
Л: ±1 °С
Л: ±1,15 °С
Л: ±1,29 °С
TR88/TMT182
(НСХ Pt100/ от 4 до 20 мА)
TR88:
Л: ±(0,15+0,002^|t|) °С (класса А);
Л: ±(0,1+0,0017-|t|) °С (класса АА);
TMT182:
Л: ±0,2 °С или Y: ±0,08 % (берут большее значение)
HiC2025
AAI143 или SAI143
у: ±0,15 %
ИК
температуры
|
2 |
3 |
4 |
5 |
6 |
7 |
8 |
|
от 0 до +300 °С |
Л: ±1 °С |
TR88/TMT82 (НСХ Pt100/ от 4 до 20 мА) |
TR88: Л: ±(0,15+0,002^|t|) °С; TMT82: Л: ±0,14 °С (АЦП) и Y: ±0,03 % (ЦАП) |
HiC2025 |
AAI143 |
у: ±0,15 % |
|
от 0 до +400 °С |
Л: ±1,27 °С | |||||
|
от -50 до +150 °С |
Л: ±1,2 °С |
TST310 (НСХ Pt100) TMT82 (от 4 до 20 мА) |
TST310: Л: ±(0,3+0,005 •Itl) °С; TMT82: Л: ±0,14 °С (АЦП) и Y: ±0,03 % (ЦАП) |
HiC2025 |
AAI143 |
у: ±0,15 %с |
|
от 0 до +150 °С |
Л: ±1,23 °С | |||||
|
от -50 до +150 °С |
Л: ±1,23 °С |
TST310 (НСХ Pt100) TMT182 (от 4 до 20 мА) |
TST310: Л: ±(0,3+0,005 •Itl) °С; TMT182: Л: ±0,2 °С или Y: ±0,08 % (берут большее значение) |
HiC2025 |
AAI143 |
у: ±0,15 % |
|
от -50 до +150 °С |
Л: ±1,23 °С |
TST310 (НСХ Pt100) Rosemount 248 (от 4 до 20 мА) |
TST310: Л: ±(O,3+0,O05-|t|) °С; Rosemount 248: Л: ±0,2 °С или Y: ±0,1 % (берут большее значение) |
HiC2025 |
AAI143 |
у: ±0,15 % |
|
1 |
2 |
3 |
4 |
5 |
6 |
7 |
8 |
|
ИК температуры |
от -50 до +150 °С |
Л: ±1,23 °С |
WTH 280-400 (НСХ Pt100) Rosemount 248 (от 4 до 20 мА) |
WTH 280-400: Л: ±(O,3+0,O05-|t|) °С; Rosemount 248: Л: ±0,2 °С или y: ±0,1 % (берут большее значение) |
HiC2025 |
SAI143 |
у: ±0,15 % |
|
от -50 до +150 °С |
Л: ±1,62 °С |
КТХА (НСХ тип K) TMT82 (от 4 до 20 мА) |
КТХА: Л: ±1,1 °С (от -40 до +275 °С включ.); TMT82: Л: ±0,32 °С (АЦП) и y: ±0,03 % (ЦАП); Л: ±(0,3+0,005-|t’|) °С (КХС) |
HiC2025 |
SAI143 |
у: ±0,15 % | |
|
от -50 до +150 °С |
Л: ±2,08 °С |
КТХА (НСХ тип K) TMT182 (от 4 до 20 мА) |
КТХА: Л: ±1,1 °С (от -40 до +275 °С включ.); TMT182: Л: ±0,2 °С или y: ±0,08 % (берут большее значение); Л: ±1 °С (КХС) |
HiC2025 |
SAI143 |
у: ±0,15 % |
ИК
температуры
|
2 |
3 |
4 |
5 |
6 |
7 |
8 |
|
от -50 до +150 °С |
Л: ±1,67 °С |
КТХА (НСХ тип K) Rosemount 248 (от 4 до 20 мА) |
КТХА: Л: ±1,1 °С (от -40 до +275 °С включ.); Rosemount 248: Л: ±0,2 °С или y: ±0,1 % (берут большее значение); Л: ±0,5 °С (КХС) |
HiC2025 |
SAI143 |
у: ±0,15 % |
|
от -50 до +150 °С |
Л: ±1,39 °С |
КТХА Ex (НСХ тип K) YTA 320 (от 4 до 20 мА) |
КТХА Ex: Л: ±1,1 °С (от -40 до +275 °С); YTA 320: Л: ±0,25 °С (АЦП); y: ±0,02 % (ЦАП); Л: ±0,5 °С (КХС) |
HiC2025 |
SAI143 |
у: ±0,15 % |
|
от -50 до +120 °С |
Л: ±1,05 °С |
ТСП 002 (НСХ Pt100) ИПМ 0399/М0-Н (от 4 до 20 мА) |
ТСП 002: Л: ±(0,3+0,005-|t|) °С; ИПМ 0399/М0-Н: у: ±(0,10/|tN|-100+0,05) % |
HiC2025 |
SAI143 |
у: ±0,15 % |
|
от -50 до +150 °С |
Л: ±1,23 °С | |||||
|
от -50 до +120 °С |
Л: ±1,05 °С |
ТСП Метран-246 (НСХ Pt100) ИПМ 0399/М0-Н (от 4 до 20 мА) |
ТСП Метран-246: Л: ±(0,3+0,005-|t|) °С; ИПМ 0399/М0- Н: у: ±(0,10/|tN|-100+0,05) % |
HiC2025 |
SAI143 |
у: ±0,15 % |
|
от -50 до +150 °С |
Л: ±1,23 °С | |||||
|
от -50 до +150 °С |
Л: ±0,55°С |
Метран-286 (от 4 до 20 мА) |
Л: ±0,4 °С |
HiC2025 |
AAI143 или SAI143 |
у: ±0,15 % |
|
от -50 до +150 °С |
Л: ±2,35 °С |
ТСП-04 (НСХ Pt100) ИПМ 0399/М0-Н (от 4 до 20 мА) |
ТСП-04: Л: ±(0,6+0,01-|t|) °С; ИПМ 0399/М0-Н: у: ±(0,10/|tN|^100+0,05) % |
HiC2025 |
SAI143 |
у: ±0,15 % |
|
1 |
2 |
3 |
4 |
|
ик температуры |
от -50 до 4-100 °C |
Л: ±0,49 °C |
тспт (от 4 до 20 мА) |
|
от -40 до 4-600 °C |
Л: ±3,68 °C |
КТХА (от 4 до 20 мА) | |
|
от -50 до 4-100 °C |
у: ±0,33 % |
ТПУ 0304 (от 4 до 20 мА) | |
|
ИК объемного расхода |
от 0 до 800 м^/ч |
см. примечание 3 |
3051SFC (от 4 до 20 мА) |
|
ИК объемного расхода |
от 0 до 6,3 м’/ч; от 0 до 32 м^/ч; от 0 до 40 м’/ч; от 0 до 60 м’/ч; от 0 до 80 м’/ч; от 0 до 100 м’/ч; от 0 до 125 м’/ч; от 0 до 165 м’/ч; от 0 до 320 м’/ч |
см. примечание 3 |
ADMAG AXF (от 4 до 20 мА) |
|
5 |
6 |
7 |
8 |
|
Л: ±0,0025-М °C |
Н1С2025 |
AAI143 |
у: ±0,15 % |
|
Л: ±(0,005-In) °C |
Н1С2025 |
SAI143 |
у: ±0,15 % |
|
у: ±0,25 % |
Н1С2025 |
SAI143 |
у: ±0,15 % |
|
Для компактной диафрагмы 405С и Р=0,4: 5: ±1,6 |
Н1С2025 |
AAI143 |
у: ±0,15 % |
|
5: ±0,35 % |
- |
AAI143 |
у: ±0,1 % |
ИК
объемного расхода
от 0 до 10 м’/ч; от 0 до 20 м’/ч; от 0 до 25 м’/ч; от 0 до 40 м’/ч; от 0 до 50 м’/ч; от 0 до 56 м’/ч; от 0 до 60 м’/ч; от 0 до 80 м’/ч;
от 0 от 0 от 0 от 0 от 0 от 0 от 0
до 100 м’/ч; до 120 м’/ч; до 125 м’/ч;
до 160 м’/ч;
до 200 м’/ч;
до 320 м’/ч;
до 400 м’/ч;
от 0 до 600 м’/ч от 0 до 10 м’/ч; от 0 до 32 м’/ч; от 0 до 40 м’/ч; от 0 до 50 м’/ч; от 0 до 63 м’/ч; от 0 до 80 м’/ч; от 0 до 160 м’/ч
от 0 до 1,6 м’/ч
см. примечание 3
см. примечание 3
см. примечание 3
ADM 8027
(от 4 до 20 мА)
F808
(от 4 до 20 мА)
OPTIMASS 6400F (от 4 до 20 мА)
Для жидкости: 5: ±2 % от измеряемого значения ±0,01 м/с
(для v<0,5 м/с); 5: ±1 % от измеряемого значения ±0,01 м/с
(для v>0,5 м/с) Для газа: 5: ±2 %

AAI143 или SAI143
у: ±0,1 %
5: ±(2,0+1/v) % (для v<0,5 м/с);
5: ±1,0 % (для v>0,5 м/с)

AAI143
у: ±0,1 %
5: ±0,1 % (более 20:1 от номинального расхода);
5: ±(0,1+100 •As/G) % (менее 20:1 от номинального расхода)
HiC2025
AAI143
у: ±0,15 %
от о до 2,5 м’/ч; от о до 20 м’/ч; от о до 40 м^/ч; от о до 45 м’/ч; от о до 100 м’/ч
см.
примечание 3
OPTISONIC
3400
(от 4 до 20 мА)
ИК объемного расхода
от О до 1600 м’/ч
см.
примечание 3
OPTISONIC
6300
(от 4 до 20 мА)
от о до 10 м’/ч; от о до 15 м^/ч
см.
примечание 3
XGF868i
(от 4 до 20 мА)
|
5 |
6 |
7 |
8 |
|
при скорости потока от 0,5 до 20,0 м/с: 5: ±0,5 %; при скорости потока от 0,25 до 0,50 м/с: 5: ±1 %; при скорости потока от 0,125 до 0,250 м/с: 5: ±2 %; при скорости потока от 0,006 до 0,125 м/с: 5: ±2 % |
Н1С2025 |
AAI143 |
у: ±0,15 % |
|
5: ±1 % (при v>0,5 м/с и Ду>50 мм) |
Н1С2025 |
AAI143 |
у: ±0,15 % |
|
1-канальное исполнение v>0,3 м/с: 5: ±2 %; 0,08<v<0,3 м/с: 5: ±5 % |
- |
AAI143 |
у: ±0,15 % |
ИК объемного расхода
от 0 до 5 м’/ч; от 0 до 6,3 м’/ч; от 0 до 16 м’/ч; от 0 до 20 м’/ч; от 0 до 30 м’/ч; от 0 до 40 м’/ч; от 0 до 125 м’/ч; от 0 до 630 м’/ч; от 0 до 1250 м’/ч; от 0 до 25000 м’/ч
см. примечание 3
YEWFLO DY
(от 4 до 20 мА)
Жидкость:
-
- 15 мм: 5: ±1,0 % при 20000<Re<2000DN
5: ±0,75 % при 2000DN<Re;
- 25 мм: 5: ±1,0 % при 20000<Re<1500DN 5: ±0,75 % при 1500DN<Re;
-
- от 40 до 100 мм: 5: ±1,0 % при
20000<Re<1000DN 5: ±0,75 % при 1000DN<Re;
-
- от 150 до 400 мм:
5: ±1,0 % при 40000<Re<1000DN 5: ±0,75 % при 1000DN<Re;
Газ и пар:
-
- от 15 до 400 мм:
5: ±1,0 % для v<35 м/с 5: ±1,5 % для 35<v<80 м/с
HiC2025
AAI143
у: ±0,15 %
|
1 |
2 |
3 |
4 |
5 |
6 |
7 |
8 |
|
ИК массового расхода |
от 0 до 30000 кг/ч; от 0 до 2300 кг/ч; от 0 до 3500 кг/ч |
см. примечание 3 |
3051SFC (от 4 до 20 мА) |
При Ду от 50 до 200 мм, компактной диафрагмы 405С и в=0,65: 5: ±1,45 %2); для Ду менее 50 и более 200 мм, компактной диафрагмы 405С и в=0,65: 5: ±1,95 %2) |
HiC2025 |
AAI143 |
у: ±0,15 % |
|
от 0 до 1250 кг/ч; от 0 до 15 т/ч; от 0 до 30 т/ч; от 0 до 60 т/ч; от 0 до 100 т/ч; от 0 до 130 т/ч |
см. примечание 3 |
Promass 83F (от 4 до 20 мА) |
5: ±0,10 % для массового расхода и массы жидкости; 5: ±0,35 % для массового расхода и массы газа |
HiC2025 |
AAI143 или SAI143 |
у: ±0,15 % | |
|
от 0 до 63 т/ч |
см. примечание 3 |
RCCT38 (от 4 до 20 мА) |
5: ±0,25 % |
HiC2025 |
AAI143 |
у: ±0,15 % | |
|
от 0 до 2500 кг/ч |
см. примечание 3 |
TMU (от 4 до 20 мА) |
5: ±(0,1+Zs/Qm-100) % |
- |
AAI143 |
у: ±0,1 % |
ИК массового расхода
от 0 до 5000 кг/ч; от 0 до 5500 кг/ч; от 0 до 16000 кг/ч
см. примечание 3
YEWFLO DY (от 4 до 20 мА)
Жидкость:
-
- 25 мм: 5: ±2,0 % при 20000<Re<1500DN
5: ±1,5 % при 1500DN<Re;
-
- от 40 до 100 мм:
5: ±2,0 % при 20000<Re<1000DN 5: ±1,5 % при 1000DN<Re;
-от 150 до 400 мм: 5: ±2,0 % при 40000<Re<1000DN 5: ±1,5 % при 1000DN<Re;
Газ и пар:
5: ±2,0 % для v<35 м/с 5: ±2,5 % для 35<v<80 м/с
HiC2025
AAI143
у: ±0,15 %
от 150 до 2850 мм
Л: ±5,55 мм
ИК уровня3)
от 100 до 1800 мм от 180 до 1140 мм от 180 до 1480 мм
Л: ±4,34 мм
Л: ±3,67 мм
Л: ±3,94 мм
LLT-MS
(от 4 до 20 мА)
VEGAFLEX 61
(от 4 до 20 мА)
Л: ±3 мм
Л: ±3 мм
HiC2025
HiC2025
SAI143
AAI143
у: ±0,15 %
у: ±0,15 %
ИК уровня3)
|
2 |
3 |
|
от 100 до 2400 мм |
Л: ±6,69 мм (до 0,3 м) Л: ±4,39 мм (св. 0,3 м) |
|
от 100 до 3800 мм |
Л: ±8,22 мм |
|
от 120 до 2820 мм |
Л: ±17,1 мм (до 0,3 м) Л: ±4,97 мм (св. 0,3 м) |
|
от 180 до 2000 мм |
Л: ±16,78 мм (до 0,3 м) Л: ±3,73 мм (св. 0,3 м) |
|
от 250 до 750 мм |
Л: ±16,53 мм (до 0,3 м) Л: ±2,35 мм (св. 0,3 м) |
|
от 250 до 2000 мм |
Л: ±6,22 мм |
|
от 250 до 2650 мм |
Л: ±16,97 мм (до 0,3 м) Л: ±4,54 мм (св. 0,3 м) |
|
от 250 до 2900 мм |
Л: ±17,07 мм (до 0,3 м) Л: ±4,9 мм (св. 0,3 м) |
|
от 250 до 2950 мм |
Л: ±17,1 мм (до 0,3 м) Л: ±4,97 мм (св. 0,3 м) |
VEGAFLEX 81
(от 4 до 20 мА)
Тип зонда - трос или стержень: Л: ±15 мм (до 0,3 м);
Л: ±2 мм (св. 0,3 м);
для границы раздела жидкости: Л: ±15 мм (до 0,3 м);
Л: ±5 мм
(св. 0,3 м);
тип зонда - коаксиал: Л: ±5 мм (до 0,3 м);
Л: ±2 мм (св. 0,3 м);
для границы раздела жидкости: Л: ±5 мм
HiC2025
AAI143 или SAI143
у: ±0,15 %
ИК \ ровня '
|
2 |
3 |
|
от 250 до 3950 мм |
А: ±8,22 мм |
|
от 250 до 3950 мм |
А: ±17,6 мм (до 0,3 м) А: ±6,49 мм (св. 0,3 м) |
|
от 250 до 4750 мм |
А: ±18,1 мм (до 0,3 м) А: ±7,75 мм (св. 0,3 м) |
|
от 350 до 1750 мм |
А: ±3,19 мм |
|
от 350 до 1800 мм |
А: ±6 мм |
|
от 350 до 1850 мм |
А: ±3,32 мм |
|
от 350 до 2150 мм |
А: ±3,7 мм |
|
от 350 до 2450 мм |
А: ±16,86 мм |
|
от 400 до 6000 мм |
А: ±9,5 мм |
VEGAFLEX 81 (от 4 до 20 мА)
Тип зонда - трос или стержень: А: ±15 мм (до 0,3 м);
А: ±2 мм (св. 0,3 м);
для границы раздела жидкости: А: ±15 мм (до 0,3 м);
А: ±5 мм
(св. 0,3 м);
тип зонда - коаксиал: А: ±5 мм (до 0,3 м);
А: ±2 мм (св. 0,3 м);
для границы раздела жидкости:
А: ±5 мм
HiC2025
ААП43
или SAI 143
ИК уровня3)
|
2 |
3 |
|
от 150 до 2150 мм |
Л: ±16,83 мм (до 0,3 м) Л: ±3,97 мм (св. 0,3 м) |
|
от 150 до 5800 мм |
Л: ±18,96 мм (до 0,3 м) Л: ±9,58 мм (св. 0,3 м) |
|
от 170 до 5820 мм |
Л: ±18,96 мм (до 0,3 м) Л: ±9,58 мм (св. 0,3 м) |
|
от 250 до 850 мм |
Л: ±16,53 мм (до 0,3 м) Л: ±2,42 мм (св. 0,3 м) |
|
от 250 до 900 мм |
Л: ±16,54 мм (до 0,3 м) Л: ±2,45 мм (св. 0,3 м) |
|
от 250 до 950 мм |
Л: ±16,55 мм (до 0,3 м) Л: ±2,49 мм (св. 0,3 м) |
|
от 250 до 1250 мм |
Л: ±16,59 мм (до 0,3 м) Л: ±2,75 мм (св. 0,3 м) |
VEGAFLEX 86
(от 4 до 20 мА)
Тип зонда - трос или стержень: Л: ±15 мм (до 0,3 м);
Л: ±2 мм (св. 0,3 м);
для границы раздела жидкости: Л: ±15 мм (до 0,3 м);
Л: ±5 мм
(св. 0,3 м);
тип зонда - коаксиал: Л: ±5 мм (до 0,3 м);
Л: ±2 мм (св. 0,3 м);
для границы раздела жидкости: Л: ±5 мм
HiC2025
AAI143 или SAI143
у: ±0,15 %
ИК уровня3)
|
2 |
3 |
|
от 250 до 1500 мм |
Л: ±16,63 мм (до 0,3 м) Л: ±3,02 мм (св. 0,3 м) |
|
от 250 до 1750 мм |
Л: ±16,69 мм (до 0,3 м) Л: ±3,32 мм (св. 0,3 м) |
|
от 250 до 1850 мм |
Л: ±16,71 мм (до 0,3 м) Л: ±3,44 мм (св. 0,3 м) |
|
от 250 до 2050 мм |
Л: ±16,77 мм (до 0,3 м) Л: ±3,7 мм (св. 0,3 м) |
|
Л: ±6,26 мм | |
|
от 250 до 2650 мм |
Л: ±16,97 мм (до 0,3 м) Л: ±4,54 мм (св. 0,3 м) |
|
Л: ±6,78 мм | |
|
от 250 до 2750 мм |
Л: ±17,01 мм (до 0,3 м) Л: ±4,68 мм (св. 0,3 м) |
|
от 250 до 4450 мм |
Л: ±17,9 мм (до 0,3 м) Л: ±7,28 мм (св. 0,3 м) |
VEGAFLEX 86
(от 4 до 20 мА)
Тип зонда - трос или стержень: Л: ±15 мм (до 0,3 м);
Л: ±2 мм (св. 0,3 м);
для границы раздела жидкости: Л: ±15 мм (до 0,3 м);
Л: ±5 мм
(св. 0,3 м);
тип зонда - коаксиал: Л: ±5 мм (до 0,3 м);
Л: ±2 мм (св. 0,3 м);
для границы раздела жидкости: Л: ±5 мм
HiC2025
AAI143 или SAI143
у: ±0,15 %
от 250 до 4550 мм
от 250 до 7350 мм
от 290 до 1290 мм
Л: ±17,97 мм (до 0,3 м)
Л: ±7,43 мм (св. 0,3 м)
Л: ±20,24 мм (до 0,3 м)
Л: ±11,92 мм
(св. 0,3 м)
Л: ±16,59 мм (до 0,3 м)
Л: ±2,75 мм (св. 0,3 м)
VEGAFLEX 86
(от 4 до 20 мА)
ИК уровня3)
от 350 до 1350 мм
Л: ±2,75 мм
от 350 до 4950 мм
Л: ±7,91 мм
от 1800 до 3550 мм
Л: ±3,64 мм
Тип зонда - трос или стержень: Л: ±15 мм (до 0,3 м);
Л: ±2 мм (св. 0,3 м);
для границы раздела жидкости: Л: ±15 мм (до 0,3 м);
Л: ±5 мм (св. 0,3 м);
тип зонда - коаксиал: Л: ±5 мм (до 0,3 м);
Л: ±2 мм (св. 0,3 м);
для границы раздела жидкости: Л: ±5 мм
HiC2025
AAI143 или SAI143
у: ±0,15 %
от 1450 до 6000 мм
Л: ±8,21 мм
от 0 до 21000 мм от 150 до 2900 мм
Л: ±9,91 мм
Л: ±35,75 мм
VEGAPULS 63
(от 4 до 20 мА)
VEGAPULS 66 (от 4 до 20 мА)
Л: ±3 мм
Л: ±8 мм
HiC2025
HiC2025
SAI143
у: ±0,15 %
AAI143 или SAI143
у: ±0,15 %
ИК НКПР
|
2 |
3 |
|
от 0 до 50 %с НКПР (СзН8) |
Л: ±5,51 % НКПР |
|
Л: ±3,31 % НКПР | |
|
от 0 до 100 % НКПР (C3H8) |
Л: ±3,31 % НКПР (в диапазоне от 0 до 50 % НКПР включ.); Л: ±6,72 % НКПР (в диапазоне свыше 50 до 100 % НКПР) |
|
от 0 до 50 % НКПР (СбН14) |
Л: ±5,51 % НКПР |
|
от 0 до 100 % НКПР (CH4) |
Л: ±5,51 % НКПР (в диапазоне от 0 до 50 % НКПР включ.); Л: ±6,61 % НКПР (в диапазоне свыше 50 до 100 % НКПР) |
ДГС ЭРИС-210 (от 4 до 20 мА)
Л: ±5 % НКПР
Л: ±3 % НКПР
Л: ±3 % НКПР
(в диапазоне от 0 до 50 % НКПР включ.);
Л: ±(0,062^Х-0,1) %
НКПР
(в диапазоне свыше 50 до 100 % НКПР)
Л: ±5 % НКПР
Л: ±5 % НКПР
(в диапазоне от 0
до 50 % НКПР включ.);
Л: ±(0,02^Х+4) % НКПР (в диапазоне свыше 50 до 100 % НКПР)
SAI143
у: ±0,1 %
ИК НКПР
ИК
концентрации
|
2 |
3 |
|
от 0 до 50 млн-1 (H2S) |
у: ±16,51 % (в диапазоне от 0 до 5 млн-1 включ.); 5: ±16,54 % (в диапазоне свыше 5 до 50 млн-1) |
|
от 0 до 50 % НКПР (пары нефтепродуктов) |
Л: ±5,51 % НКПР |
|
от 0 до 50 % НКПР (C2H6) |
Л: ±5,51 % НКПР |
|
от 0 до 30 % (О2) |
у: ±5,51 % (в диапазоне от 0 до 10 % включ.); 5: ±5,54 % (в диапазоне свыше 10 до 30 %) |
|
от 0 до 10 % (О2) |
у: ±2,22 %с (от 0 до 5 %); 5: ±2,22 % (св. 5 %) |
|
от 0 до 500 млн-1 (объемная доля СО) |
у: ±5,51 % |
ДГС ЭРИС-210 (от 4 до 20 мА)
THERMOX
WDG-W
(от 4 до 20 мА)
у: ±15 %
(в диапазоне от 0 до 5 млн-1 включ.);
5: ±15 %
(в диапазоне свыше 5 до 50 млн-1)
Л: ±5 % НКПР
Л: ±5 % НКПР
у: ±5 %
(в диапазоне от 0 до 10 % включ.);
5: ±5 %
(в диапазоне свыше 10
до 30 %)
у: ±2 %
(от 0 до 5 %);
5: ±2 % (св. 5 до 100 %)
у: ±5 %


SAI143
у: ±0,1 %
AAI143 или SAI143
у: ±0,1 %
|
1 |
2 |
3 |
4 |
5 |
6 |
7 |
8 |
|
ИК концентрации |
от 0 до 50 млн-1 (горючие газы) |
у: ±13,21 % |
АГ 4080 (от 4 до 20 мА) |
Y: ±12 % |
- |
SAI143 |
у: ±0,1 % |
|
ИК силы тока |
от 4 до 20 мА |
у: ±0,1 % |
- |
- |
- |
AAI143 или SAI143 |
у: ±0,1 % |
|
у: ±0,15 % |
HiC2025 |
у: ±0,15 % | |||||
|
ИК воспроизведения силы тока |
от 4 до 20 мА |
у: ±0,3 % |
- |
- |
- |
AAI543 или SAI533 |
у: ±0,3 % |
|
у: ±0,32 % |
- |
- |
HiC2031 |
у: ±0,32 % |
-
1) Нормированы с учетом погрешностей промежуточных ИП (барьеры искрозащиты) и модулей ввода/вывода сигналов.
-
2) Пределы погрешности приведены без учета погрешностей определения свойств измеряемой среды.
-
3) Шкала ИК установлена в ИС в процентах (от 0 до 100 %).
Примечания
-
1 Приняты следующие обозначения и сокращения:
Л - пределы допускаемой абсолютной погрешности, в единицах измеряемой величины;
5 - пределы допускаемой относительной погрешности, %;
у - пределы допускаемой приведенной погрешности (нормирующим значением для приведенной погрешности является разность между максимальным и минимальным значениями диапазона измерений), %;
t - измеренная температура, °С;
t' - значение температуры КХС, °С;
tN - разность между верхним и нижним пределом диапазона преобразования, °С;
v - скорость рабочей среды, м/с;
As - стабильность нуля, дм3/ч;
G - расход жидкости, дм3/ч;
в - относительный диаметр отверстия диафрагмы;
Ду - диаметр условного прохода, мм;
Re - число Рейнольдса;
Zs - значение стабильности нуля, кг/ч;
Qm - текущее значение массового расхода, кг/ч;
Х - значение объемной доли определяемого компонента в газовой смеси, подаваемой на вход газоанализатора, % НКПР;
C3H8 - химическая формула пропана;
C6H14 - химическая формула гексана;
CH4 - химическая формула метана;
H2S - химическая формула сероводорода;
C2H6 - химическая формула этана;
О2 - химическая формула кислорода;
|
2 |
3 |
4 |
5 |
6 |
7 |
_________1
СО - химическая формула оксида углерода;
НСХ - номинальная статическая характеристика;
КХС - компенсация холодного спая;
АЦП - аналого-цифровое преобразование;
ЦАП - цифро-аналоговое преобразование.
-
2 Шкала ИК давления и перепада давления, применяемых для измерения перепада давления на сужающем устройстве и уровня, установлена в ИС в единицах измерения расхода и в процентах соответственно. Пределы допускаемой основной погрешности данных ИК нормированы по диапазону измерений давления (перепада давления).
-
3 Пределы допускаемой основной погрешности ИК рассчитывают по формулам:
- абсолютная АИК, в единицах измеряемой величины
где
АПП
YBn
X
max
X
min
(X - X 2
max min
•• —ioT-) ,
Дик = ±1,1 •
N
-
- пределы допускаемой основной абсолютной погрешности первичного ИП ИК, в единицах измерений измеряемой величины;
-
- пределы допускаемой основной приведенной погрешности вторичной части ИК, %;
-
- значение измеряемого параметра, соответствующее максимальному значению диапазона аналогового сигнала, в единицах измерений измеряемой величины;
-
- значение измеряемого параметра, соответствующее минимальному значению границы диапазона аналогового сигнала, в единицах измерений измеряемой величины;
- приведенная YИК, %
где
У ИК ±1,1^Упп +Увп ,
Ynn - пределы допускаемой основной приведенной погрешности первичного ИП ИК, %; - относительная 5ИК, %
(X - X 2 max min
Yвп • -------) ,
изм
где
§ИК = ±1,1 •
N
5ПП - пределы допускаемой основной относительной погрешности первичного ИП ИК, %;
Хи3м - измеренное значение, в единицах измерений измеряемой величины.
4 Для расчета погрешности ИК в условиях эксплуатации:
-
- приводят форму представления основных и дополнительных погрешностей измерительных компонентов ИК к единому виду (приведенная, относительная, абсолютная);
-
- для каждого измерительного компонента ИК рассчитывают пределы допускаемых значений погрешности в условиях эксплуатации путем учета основной и дополнительных погрешностей от влияющих факторов.
Пределы допускаемых значений погрешности измерительного компонента ИК в условиях эксплуатации АСИ рассчитывают по формуле
Аси =±

|
1 |
2 |
3 |
4 |
5 |
6 |
7 |
8 | |
|
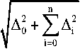
где А0 - пределы допускаемой основной погрешности измерительного компонента; Ai - погрешности измерительного компонента от i-го влияющего фактора в условиях эксплуатации пр] Для каждого ИК рассчитывают границы, в которых c вероятностью, равной 0,95, должна находиться его по |
и общем числе n учитываемых влияющих факторов. грешность в условиях эксплуатации АИК по формуле эксплуатации. | |||||||
|
ИК “ где AСИj - пределы допускаемых значений погрешности АСИ j-го измерительного к |
Z (Дсч)2 . j=0 омпонента ИК в условиях | |||||||
Основные технические характеристики ИС представлены в таблице 4. Таблица 4 - Основные технические характеристики ИС
|
Наименование характеристики |
Значение |
|
Количество входных ИК, не более |
2128 |
|
Количество выходных ИК, не более |
317 |
|
Параметры электрического питания:
|
380-56; 220'23 50±1 |
|
Условия эксплуатации: а) температура окружающей среды, °С:
б) относительная влажность, %, не более
|
от +15 до +25 от -40 до +50 от 20 до 80, без конденсации влаги не более 95, без конденсации влаги |
|
в) атмосферное давление, кПа |
от 84,0 до 106,7 кПа |
|
Примечание - ИП, эксплуатация которых в указанных диапазонах температуры окружающей среды и относительной влажности не допускается, эксплуатируются при температуре окружающей среды и относительной влажности, указанных в технической документации на данные ИП. | |

